Теорема Нетер
Министерство образования Украины
Донбасский горно-металлургический институт
Кафедра Общей и прикладной физики
Курсовая работа
на тему:
Теорема Нётер
выполнил:
студент группы ПФ-99
Антропов Иван Иванович
руководитель:
доцент кафедры ОПФ
Мурга В.В.
Алчевск 2001
Содержание
Введение. 3
1. Асимптотическая аддитивность интегралов движения. Формулировка теоремы Нётер. 4
2. Доказательство теоремы Нётер. 6
3. Некоторые замечания относительно теоремы Нётер. 11
Вывод. 12
Список использованной литературы

Введение
Всякое равенство вида
называется интегралом движения. Для замкнутой системы с степенями свободы всего существует
независимых интегралов движения. Если считать
в уравнениях движения новыми переменными, не зависящими от
, то полный набор уравнений движения запишется в виде
, (1)
причем для замкнутой системы время здесь войдет только в виде явно выписанных дифференциалов. Поэтому исключая из этих уравнений dt, мы получим
уравнений, не содержащих времени. Их интегрирование приведет к
интегралам движения.
1. Асимптотическая аддитивность интегралов движения. Формулировка теоремы Нётер.
Среди всех интегралов движения особое значение имеют аддитивные или асимптотически аддитивные интегралы движения, для которых существует специальное название – законы сохранения. Если рассмотреть две системы, находящиеся очень далеко друг от друга, то физически очевидно, что процессы в одной системе совсем никак не должны влиять на движение другой. Поскольку, с другой стороны ничто не мешает нам рассматривать две такие системы как две части, I и II, единой общей системы, то мы приходим к условию асимптотической аддитивности, который заключается в следующем: если некоторая система (I + II) разделяется на две подсистемы таким образом, что минимум расстояния между материальными точками разных подсистем
, то ее функция Лагранжа распадается на сумму функций Лагранжа обеих подсистем:
. (2)
Законы сохранения имеют глубокое происхождение, связанное с инвариантностью описания механической системы относительно некоторой группы преобразований времени и координат. Существует теорема Нётер, утверждающая, что для системы дифференциальных уравнений, которые могут быть получены как уравнения Эйлера из некоторого вариационного принципа, из инвариантности вариационного функционала относительно однопараметрической непрерывной группы преобразований следует существование одного закона сохранения. Если группа содержит l параметров, то из инвариантности функционала будет следовать существование l законов сохранения.
Наличие входящих в требуемую теоремой Нётер группу преобразований симметрии зависит от природы физической системы. Для рассматриваемых замкнутых систем действие должно быть инвариантным относительно семипараметрической группы преобразований – зависящего от одного сдвига по времени, зависящих от трех параметров пространственных сдвигов и зависящих от трех параметров вращения пространства. В соответствии с этим у всякой замкнутой системы должны существовать 7 сохраняющихся величин, отвечающих указанным преобразованиям. Если система такова, что она допускает еще и другие преобразования симметрии, то сохраняющихся величин может оказаться больше.
2. Доказательство теоремы Нётер
Точно сформулируем и докажем теорему Нётер.
Рассмотрим некоторую систему, описываемую функцией Лагранжа
. (3)
Форма уравнений Лагранжа-Эйлера, получаемых из вариационного принципа с такой функцией Лагранжа, инвариантна относительно преобразований вида
, а также и относительно более общих преобразований
(4)
включающих замену независимой переменной. Однако конкретный вид для нового выражения для действия, как функционала новых координат, зависящих от нового времени, может претерпеть при таком изменении любые изменения.
Теорема Нётер интересуется только тем случаем, когда таких изменений не происходит.
Итак, будем считать, что мы ввели совокупность зависящих от (для простоты) одного параметра l преобразований
обобщенных координат и времени.
![]()
Используя (4), получим:
(5)
Пусть преобразования
такие, что
(6)
т.е. образующих однопараметрическую группу. Рассмотрим бесконечно малое преобразование, отвечающее параметру
.
Тогда
(7)
Собственно вариации обобщенных координат, происходящие при рассматриваемом преобразовании, – это разность значений
новых координат в некоторый момент нового времени и значений старых координат
в соответствующий момент старого времени, т.е.
. (8)
Наряду с ними удобно ввести в рассмотрение вариации формы
(9)
зависимости координат от времени, которые отличны от нуля, даже если наше преобразование затрагивает только время, а не координаты.
Для любой функции справедливо соотношение:
.
Тогда между двумя введенными видами вариаций есть соотношение, которое можно получить следующим образом: вычтем из (8) уравнение (9), получим:
,
примем во внимание, что
,
тогда имеем:
(10)
Вариации без звездочек, относящиеся к одному значению аргумента, перестановочны с дифференцированием по времени
,
в то время, как для вариаций со звездочками это, вообще говоря, неверно.
Соответствующие два вида вариаций можно ввести и для любой динамической переменной. Например, для функции Лагранжа
(11)
причем
(12)
где
включает дифференцирование как по явно входящему времени, так и по времени, входящему неявно, через координаты и скорости.
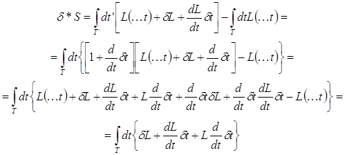
Потребуем теперь, чтобы интеграл действия не менялся бы при нашем преобразовании, – это и есть тот исключительный случай, который требуется условием теоремы, – т.е. чтобы было
, (13)
где Т' – та же область интегрирования, что и Т во втором интеграле, но выраженная через новые переменные. Тогда подставив (11) в (13), получим
(14)
Выражаем в (15)
через
(11) и учитывая соотношение
,
переходя к интегрированию по t вместо t', получим:

Учитывая, что
,
получим:
(15)
Но
(16)
Найдем дифференциал
,
отсюда
(17)
Подставив (17) в (16), получим:

Под знаком первой суммы стоит уравнение Лагранжа, т.е.

Тогда имеем:
(18)
Подставим полученное значение вариации функции Лагранжа в (15), имеем:

Из (10) выразим
через
и
:
![]()
Тогда вариация действия

(19)
Мы должны потребовать равенства этой вариации нулю. В силу произвольности области интегрирования Т из равенства нулю интеграла следует равенство нулю подынтегрального выражения, т.е. мы приходим к тому, что необходимым и достаточным условием инвариантности действия относительно преобразования (7) служит удовлетворение уравнения
.
Заменим
и
, используя соотношения (7) и (8), имеем:

Вынесем l за скобки и разделим на нее обе части уравнения. Окончательно получим необходимое условие:
(20)
Другими словами, из инвариантности действия относительно (7) мы получили то следствие, что величина
(21)
остается постоянной во времени. Это и есть точное утверждение теоремы Нётер.
3. Некоторые замечания относительно теоремы Нётер
1. Величина (21) еще не является динамической величиной – кроме обобщенных координат, скоростей и времени она зависит еще и от задающих преобразований функций
. (21) станет динамическим законом только тогда, когда сами задающие (7) функции будут (помимо параметров) зависеть только от
.
2. Обратим внимание на разный характер двух членов в (21). Первый из них включает саму функцию Лагранжа, поэтому обязательно перепутывает все степени свободы системы и поэтому может обладать самое большое асимптотической аддитивностью (2). Напротив, второй имеет явную форму суммы по отдельным степеням свободы. Таким образом, если преобразование, относительно которого действие инвариантно, затрагивает время, то мы можем надеяться на сохранение только асимптотически аддитивной величины, если же преобразование меняет лишь координаты, то сохраняться будет точно аддитивная величина.
Вывод
Таким образом, была сформулирована и доказана теорема Нётер. Существенно то, что теорема Нётер позволяет, при заданном виде функции Лагранжа, найти аддитивные интегралы движения в виде явных функций координат и скоростей, не интегрируя никаких уравнений, ведь в общем случае каждый из интегралов движения находится только интегрированием системы, число уравнений которой только на одно меньше полной системы уравнений движения.
Список использованной литературы
1. Медведев Б.В. Начала теоретической физики. Механика. Теория поля. Элементы квантовой механики: Учебн. Пособие для вузов. – М.: Наука, 1977. – 496 с.
2. Ландау Л.Д., Лифшиц Е.М. Механика. Электродинамика: Краткий курс теоретической физики. Кн. 1. – М.: Наука, 1969 – 271 с.
3. Рымкевич П.А. Курс физики (Для физ-мат фак. пед. институтов) Изд. 2-е, перераб и доп. М.: Высшая школа, 1975.
![]()
