ТЭЦ 589
Электроэнергетика России – это единая энергетическая система, которая представляет собой постепенно развивающийся комплекс, объединенный общим режимом работы и единым централизованным диспетчерским и автоматическим управлением. По своим масштабам ЕЭС России является крупнейшей в мире, а по мощности сопоставима с западноевропейским энергообъединением. Масштабы развития теплоэнергетики в значительной мере определяются такими факторами, как сокращение вводов атомных и гидравлических электростанций, а также ростом объёмов оборудования, вырабатывающего свой парковый ресурс.
Релейная защита осуществляет автоматическую ликвидацию повреждений и ненормальных режимов в электрической части энергосистем и является важнейшей автоматикой, обеспечивающей их надёжную и устойчивую работу.
В современных энергетических системах задачи релейной защиты, её роль и значение в обеспечении надёжной работы энергосистем и беспрерывного энергоснабжения потребителей особенно возрастают в связи с бурным ростом мощностей энергосистем, объединением их в единые электрически связанные системы в пределах нескольких областей, всей страны, и даже нескольких государств, сооружением дальних и сильно загруженных линий электропередач, строительством мощных электростанций, ростом единичной мощности генераторов и трансформаторов.
Характерным для современных энергосистем является развитие сетей высокого и сверхвысокого напряжения, с помощью которых производится объединение энергетических систем и передача больших потоков электрической энергии от мощных электростанций к крупным центрам потребления.
В России строятся крупнейшие тепловые, гидравлические и атомные электростанции, увеличивается мощность энергетических блоков. Соответственно растут мощности электрических подстанций, усложняется конфигурация электрических сетей и повышается их нагрузка.
Рост нагрузок, увеличение протяжённости линий электропередачи, ужесточение требований к устойчивости энергосистем осложняют условия работы релейной защиты и повышают требования к её быстродействию, чувствительности и надёжности. В связи с этим идёт непрерывный процесс развития и совершенствования техники релейной защиты, направленный на создание всё более совершенных защит, отвечающих требованиям современной энергетики.
Создаются и вводятся в эксплуатацию новые защиты для дальних электропередач сверхвысокого напряжения, для крупных генераторов, трансформаторов и энергетических блоков. Совершенствуются способы резервирования отказа защит и выключателей. Всё более определённой становится тенденция отказа от электромеханических реле и переход на статические, бесконтактные системы.
Широкое распространение в связи с этим получает применение в устройствах релейной защиты полупроводниковых приборов (диодов, транзисторов, тиристоров). Применение полупроводниковых приборов и элементов открывают большие возможности по улучшению параметров устройств релейной защиты, а также созданию новых видов защит, в частности быстродействующих и высокочувствительных.
Используется ЭВМ для расчёта уставок защиты, поскольку такие расчёты в современных энергосистемах очень трудоёмки и занимают много времени.
В связи с ростом токов короткого замыкания, вызванным увеличением генераторной мощности энергосистем, актуальное значение приобретают вопросы точности трансформации первичных токов, питающих измерительные органы релейной защиты. Для решения этой проблемы ведутся исследования поведения трансформаторов тока, изучаются возможности повышения их точности, разрабатываются пригодные для практики методы расчёта погрешностей трансформаторов тока, ведутся поиски более точных способов трансформации первичных токов.
1. Выбор основного оборудования
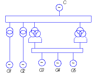
1.1 Согласно заданию, для выдачи мощности на РУ ВН 220 кВ на проектируемой ТЭЦ устанавливается ГРУ на которое работают два генератора, мощностью 63 МВт каждый, и 3 генератора мощность 200 МВт.
Структурная схема ТЭЦ показана на рисунке 1.
![]()
![]()

2´200 МВт 3´63 МВт
Рисунок 1
1.2 Выбор турбогенераторов
Для проектируемой электростанции выбирается 2 турбогенераторов типа ТВВ-200–2 и 3 турбогенератора типа ТВФ-63–2
Технические данные турбогенераторов приведены в таблице 1.
Таблица 1
Тип гене-ра | Sн.г, МВ*А | cosφ | UК.СТАТ, kB | IСТАТ, kA | xdII |
|
ТВФ-63–2 | 78,75 | 0,8 | 6,3 | 4,33 | 0,139 | 98,3 |
ТВВ-200–2 | 235 | 0,85 | 15,75 | 8,625 | 0,191 | 98,6 |
