Дефект масс и энергия связи ядер
МИНИСТЕРСТВО ОБРАЗОВАНИЯ РОССИЙСКОЙ ФЕДЕРАЦИИ
БЛАГОВЕЩЕНСКИЙ ГОСУДАРСТВЕННЫЙ
ПЕДАГОГИЧЕСКИЙ УНИВЕРСИТЕТ
кафедра общей физики
Энергия связи и дефект масс
курсовая работа
Выполнила: студентка 3 курса ФМФ, группы «Е», Подорван А.Н.
Проверила: доцент Карацуба Л.П.
Благовещенск 2000
Содержание
§1. Дефект массы – характеристика
атомного ядра, энергия связи. 3
§ 2 Масс-спектроскопические методы
измерения масс и аппаратура. 7
§ 3. Полуэмпирические формулы для
вычисления масс ядер и энергий связи ядер. 12
п.3.1. Старые полуэмпирические формулы. 12
п.3.2. Новые полуэмпирические формулы
с учетом влияния оболочек 16
Литература 24
§1. Дефект массы – характеристика атомного ядра, энергия связи.
Задача о нецелочисленности атомного веса изотопов долго волновала учёных, но теория относительности, установив связь между массой и энергией тела (E=mc2), дала ключ к решению этой задачи, а протон-нейтронная модель атомного ядра оказалась тем замком, к которому этот ключ подошёл. Для решения данной задачи понадобятся некоторые сведения о массах элементарных частиц и атомных ядер (табл. 1.1).
Таблица 1.1
Масса и атомный вес некоторых частиц
Частица | Символ | Масса, кг | Масса в физической шкале1 |
Электрон | e | (9,10830,0003)10-31 | (5,487630,00006)10–4 |
Протон |
| (1,672390,00004)10-27 | 1,0075930,000003 |
Нейтрон |
| (1,674700,00004)10-27 | 1,0089820,000003 |
Альфа-частица |
| (6,64330,0001)10-27 | 4,0027800,000006 |
(Массы нуклидов и их разности определяют опытным путем с помощью: масс-спектроскопических измерений; измерений энергий различных ядерных реакций; измерений энергий β- и α-распадов; микроволновых измерений, дающих отношение масс или их разностей.)
Сравним массу -частицы, т.е. ядра гелия, с массой двух протонов и двух нейтронов, из которых оно состоит. Для этого из суммы удвоенной массы протона и удвоенной массы нейтрона вычтем массу -частицы и полученную таким образом величину назовём дефектом массы
m=2M+2M-M=0,03037 а.е.м. (1.1)
Атомная единица массы
mа.е.м.= (1,65970,0004)10-27 кг. (1.2)
Пользуясь формулой связи между массой и энергией, делаемой теорией относительности, можно определить величину энергии, которая соответствует этой массе, и выразить её в джоулях или, что более удобно, в мегаэлектронвольтах (1 Мэв=106 эв). 1 Мэв соответствует энергии, приобретаемой электроном, прошедшим разность потенциалов в миллион вольт.
Энергия, соответствующая одной атомной единице массы, равна
E=mа.е.м. с2=1,6597 10-27 8,99 1016=1,49 10-10 дж=931 Мэв. (1.3)
Наличие у атома гелия дефекта массы (m = 0,03037 а.е.м.) означает, что при его образовании была излучена энергия (Е=mс2=0,03037 931=28 Мэв). Именно эту энергию нужно приложить к ядру атома гелия для того, чтобы разложить его на отдельные частицы. Соответственно на одну частицу приходится энергия, в четыре раза меньшая. Эта энергия характеризует прочность ядра и является важной его характеристикой. Её называют энергией связи, приходящейся на одну частицу или на один нуклон (р). Для ядра атома гелия р=28/4=7 Мэв, для других ядер она имеет иную величину.
В
сороковые годы ХХ века благодаря работам Астона, Демпстера и других ученых с большой точностью были определены значения дефекта массы и вычислены энергии связи для ряда изотопов. На рис.1.1 эти результаты представлены в виде графика, на котором по оси абсцисс отложен атомный вес изотопов, а по оси ординат – средняя энергия связи частицы в ядре.
Анализ этой кривой интересен и важен, т.к. по ней, и очень наглядно, видно, какие ядерные процессы дают большой выход энергии. По существу ядерная энергетика Солнца и звёзд, атомных электростанций и ядерного оружия является реализацией возможностей, заложенных в тех соотношениях, которые показывает эта кривая. Она имеет несколько характерных участков. Для лёгкого водорода
энергия связи равна нулю, т.к. в его ядре всего одна частица. Для гелия
энергия связи на одну частицу составляет 7 Мэв. Таким образом, переход от водорода к гелию связан с крупным энергетическим скачком. У изотопов среднего атомного веса: железа, никеля и др. энергия связи частицы в ядре наибольшая (8,6 Мэв) и соответственно ядра этих элементов наиболее прочные. У более тяжёлых элементов энергия связи частицы в ядре меньше и поэтому их ядра относительно менее прочные. К таким ядрам относится и ядро атома урана-235.
Чем больше дефект массы ядра, тем большая энергия излучена при его образовании. Следовательно, ядерное превращение, при котором происходит увеличение дефекта массы, сопровождается добавочным излучением энергии. Рисунок 1.1 показывает, что имеются две области, в которых эти условия выполняются: переход от самых лёгких изотопов к более тяжёлым, например, от водорода к гелию, и переход от самых тяжёлых, например урана, к ядрам атомов среднего веса.
Так же есть часто используемая величина, несущая в себе ту же информацию, что и дефект масс – упаковочный коэффициент (или множитель). Упаковочный коэффициент характеризует стабильность ядра, его график представлен на рисунке 1.2.
Р
ис. 1.2. Зависимость упаковочного коэффициента от массового числа
§ 2. Масс-спектроскопические методы измерения
масс и аппаратура.
Наиболее точные измерения масс нуклидов, произведенные методом дублетов и использованные для вычисления масс, были выполнены на масс-спектроскопах с двойной фокусировкой и на динамическом приборе – синхрометре.
Один из советских масс-спектрографов с двойной фокусировкой типа Бейнбриджа – Иордана был построен М. Арденне, Г. Егером, Р. А. Демирхановым, Т. И. Гуткиным и В. В. Дороховым. Все масс-спектроскопы с двойной фокусировкой имеют три основные части: источник ионов, электро-статический анализатор и магнитный анализатор. Электростатический анали-затор разлагает пучок ионов по энергиям в спектр, из которого щель вырезает некоторую центральную часть. Магнитный анализатор фокусирует ионы раз-ной энергии в одной точке, так как ионы с разной энергией проходят в секторном магнитном поле различные пути.
Масс-спектры регистрируются на фотопластинках, расположенных в фото-камере. Шкала прибора почти в точности линейная, и при определении диспер-сии в центре пластины нет необходимости применять формулу с поправочным квадратичным членом. Средняя разрешающая способность около 70 000.
Другой отечественный масс-спектрограф сконструирован В. Шютце при участии Р. А. Демирханова, Т. И. Гуткина, О. А. Самадашвили и И. К. Карпенко. На нем выполнены измерения масс нуклидов олова и сурьмы, результаты которых использованы в таблицах масс. Этот прибор имеет квадратичную шкалу и обеспечивает двойную фокусировку для всей шкалы масс. Средняя разрешающая способность прибора около 70 000.
Из зарубежных масс-спектроскопов с двойной фокусировкой наиболее точным является новый масс-спектрометр Нира – Робертса с двойной фокусировкой и новым методом регистрации ионов (рис. 2.1). Он имеет 90-градусный электростатический анализатор с радиусом кривизны Re=50,8 см и 60-градусный магнитный анализатор с радиусом кривизны оси ионного пучка R
m=40,6 см.
Рис. 2.1. Большой масс-спектрометр Нира – Робертса с двойной фокусировкой Миннесстского университета:
1 – источник ионов; 2 – электростатический анализатор; 3 – магнитный анализатор; 4 – электронный умножитель для регистрации тока; S1 – входная щель; S2 – апертурная щель; S3 – щель в плоскости изображения электростатического анализатора; S4 – щель в плоскости изображения магнитного анализатора.
Полученные в источнике ионы ускоряются разностью потенциалов Ua=40 кв и фокусируются на входной щели S1 шириной около 13 мкм; такова же ширина щели S4, на которую проектируется изображение щели S1. Апертурная щель S2имеет ширину около 200 мкм, щель S3, на которую электростатическим анализатором проектируется изображение щели S1, имеет ширину около 400 мкм. За щелью S3 расположен зонд, облегчающий подбор отношений Ua/Ud, т. е. ускоряющего потенциала Uaисточника ионов и потенциалов анализатора Ud.
На щель S4 магнитным анализатором проектируется изображение источника ионов. Ионный ток силой 10–12 – 10–9а регистрируется электронным умножителем. Можно регулировать ширину всех щелей и перемещать их снаружи, не нарушая вакуума, что облегчает юстировку прибора.
Существенное отличие этого прибора от предыдущих – применение осциллографа и развертывание участка спектра масс, впервые примененное Смитом для синхрометра. При этом пилообразные импульсы напряжения используются -одновременно для перемещения луча в трубке осциллографа и для модуляции магнитного поля в анализаторе. Глубина модуляции подбирается такой, чтобы масс-спектр развертывался у щели примерно на удвоенную ширину одной линии дублета. Это мгновенное развертывание пика массы сильно облегчает фокусировку.
Как известно, если масса иона М изменилась на ΔМ, то для того чтобы траектория иона в данном электромагнитном поле осталась прежней, следует все электрические потенциалы изменить в ΔМ/М раз. Таким образом, для перехода от одной легкой составляющей дублета с массой М к другой составляющей, имеющей массу на ΔM большую, необходимо первоначальные разности потенциалов, приложенные к анализатору Ud, и к источнику ионов Ua, изменить соответственно на ΔUdи ΔUaтак, чтобы
(2.1)
Следовательно, разность масс ΔM дублета можно измерить по разности потенциалов ΔUd, необходимой для того, чтобы сфокусировать вместо одной составляющей дублета другую.
Разность потенциалов подается и измеряется по схеме изображенной на рис. 2.2. Все сопротивления, кроме R*, манганиновые, эталонные, заключены в термостат. R= R' =3 371 630 ± 65 ом. ΔR может изменяться от 0 до 100000 Oм, так что отношение ΔR/R известно с точностью до 1/50000. Сопротивление ΔR подобрано так, что при положении реле, включенном на контакт А, на щели S4, оказывается сфокусированной одна линия дублета, а при положении реле на контакт В – другая линия дублета. Реле – быстродействующее, переключается после каждого цикла развертывания в осциллографе, поэтому на экране можно видеть одновременно развертки обеих л
иний дублета. Изменение потенциала ΔUd, вызванное добавочным сопротивлением ΔR, можно считать подобранным, если обе развертки совпадают. При этом другая аналогичная схема с синхронизированным реле должна обеспечить изменение ускоряющего напряжения Uа на ΔUa так, чтобы
(2.2)
Тогда разность масс дублета ΔM можно определить по дисперсионной формуле
(2.3)
Частота развертки обычно довольно велика (например, 30 сек-1), поэтому шумы источников напряжения должны быть минимальны, но длительная устойчивость не обязательна. В этих условиях идеальным источником являются батареи.
Разрешающая сила синхрометра ограничена требованием сравнительно больших ионных токов, так как частота развертки велика. В данном приборе наибольшее значение разрешающей силы – 75000, но, как правило, оно меньше; наименьшее значение – 30000. Такая разрешающая сила позволяет отделить основные ионы от ионов примесей почти во всех случаях.
При измерениях считалось, что погрешность состоит из статистической погрешности и погрешности, вызванной неточностью калибровки сопротивлений.
Перед началом работы спектрометра и при определении различных разностей масс проводили серию контрольных измерений. Так, через определенные промежутки времени работы прибора измерялись контрольные дублеты O2 – S и C2H4 – СО, в результате чего было установлено, что в течение нескольких месяцев никаких изменений не произошло.
Для проверки линейности шкалы одну и ту же разность масс определяли при разных массовых числах, например по дублетам СН4 – О, С2Н4 – СО и Ѕ(C3H8 – CO2). В результате этих контрольных измерений были получены значения, отличающиеся друг от друга лишь в пределах погрешностей. Эта проверка была проделана для четырех разностей масс, и согласие получилось очень хорошее.
Правильность результатов измерений подтвердилась также измерением трех разностей масс триплетов. Алгебраическая сумма трех разностей масс в триплете должна быть равна нулю. Результаты таких измерений для трех триплетов при разных массовых числах, т. е. в разных частях шкалы, оказались удовлетворительными.
Последним и очень важным контрольным измерением для проверки правильности дисперсионной формулы (2.3) было измерение массы атома водорода при больших массовых числах. Это измерение проделали один раз для А =87, как разность масс дублета C4H8O2 – С4Н7O2. Результаты 1,00816±2 а. е. м. с погрешностью до 1/50000 согласуются с измеренной массой Н, равной 1,0081442±2 а. е. м., в пределах погрешности измерения сопротивления ΔR и погрешности калибровки сопротивлений для этой части шкалы.
Все эти пять серий контрольных измерений показали, что формула дисперсии пригодна для данного прибора, а результаты измерений достаточно надежны. Данные измерений, выполненных на этом приборе, были использованы для составления таблиц.
§ 3. Полуэмпирические формулы для вычисления масс ядер и энергий связи ядер.
п.3.1. Старые полуэмпирические формулы.
По мере развития теории строения ядра и появления различных моделей ядра возникли попытки создания формул для вычисления масс ядер и энергий связи ядер. Эти формулы основываются на существующих теоретических представлениях о строении ядра, но при этом коэффициенты в них вычисляются из найденных экспериментальных масс ядер. Такие формулы частично основанные на теории и частично выведенные из опытных данных, называют полуэмпирическими формулами.
Полуэмпирическая формула масс имеет вид:
M(Z, N)=ZmH+Nm-EB(Z, N), (3.1.1)
где M(Z, N) – масса нуклида с Z протонами и N – нейтронами; mH – масса нуклида Н1; m – масса нейтрона; EB(Z, N) – энергия связи ядра.
Эта формула, основанная на статистической и капельной моделях ядра, предложена Вейцзекером. Вейцзекер перечислил известные из опыта закономерности изменения масс:
Энергии связи легчайших ядер возрастают очень быстро с массовыми числами.
Энергии связи ЕВ всех средних и тяжёлых ядер возрастают приблизительно линейно с массовыми числами А.
Средние энергии связи на один нуклон ЕВ/А лёгких ядер возрастают до А≈60.
Средние энергии связи на один нуклон ЕВ/А более тяжёлых ядер после А≈60 медленно убывают.
Ядра с чётным числом протонов и чётным числом нейтронов имеют несколько большие энергии связи, чем ядра с нечётным числом нуклонов.
Энергия связи стремится к максимуму для случая, когда числа протонов и нейтронов в ядре равны.
Вейцзекер учёл эти закономерности при создании полуэмпирической формулы энергии связи. Бете и Бечер несколько упростили эту формулу:
EB(Z, N)=E0+EI+ES+EC+EP. (3.1.2)
и её часто называют формулой Бете-Вейцзекера. Первый член Е0 – часть энергии, пропорциональная числу нуклонов; ЕI – изотопический или изобарный член энергии связи, показывающий, как изменяется энергия ядер при отклонении от линии наиболее устойчивых ядер; ЕS – поверхностная или свободная энергия капли нуклонной жидкости; ЕС – кулоновская энергия ядра; ЕР – парная энергия.
Первый член равен
Е0 = αА. (3.1.3)
Изотопический член ЕI есть функция разности N–Z. Т.к. влияние электрического заряда протонов предусматривается членом ЕС, ЕI есть следствие только ядерных сил. Зарядовая независимость ядерных сил, особенно сильно ощущаемая в лёгких ядрах, приводит к тому, что ядра наиболее устойчивы при N=Z. Так как уменьшение устойчивости ядер не зависит от знака N–Z, зависимость ЕI от N–Z должна быть по меньшей мере квадратичной. Статистическая теория даёт следующее выражение:
ЕI = –β(N–Z)2А–1. (3.1.4)
Поверхностная энергия капли с коэффициентом поверхностного натяжения σ равна
ЕS=4πr2σ. (3.1.5)
Кулоновский член есть потенциальная энергия шара, заряженного равномерно по всему объёму зарядом Ze:
(3.1.6)
Подставив в уравнения (3.1.5) и (3.1.6) радиус ядра r=r0A1/3, получим
(3.1.7)
(3.1.8)
а подставив (3.1.7) и (3.1.8) в (3.1.2), получим
. (3.1.9)
Постоянные α, β и γ подбирают такими, чтобы формула (3.1.9) лучшим образом удовлетворяла всем значениям энергий связи, вычисленным по экспериментальным данным.
Пятый член, представляющий парную энергию, зависит от четности числа нуклонов:

(3.1.10)
Ферми уточнил также постоянные по новым экспериментальным данным. Полуэмпирическая формула Бете-Вейцзекера, выражающая массу нуклида в старых единицах (16О=16), получилась такой:
M(A, Z) = 0,99391A – 0,00085 + 0,014A2/3 +
+0,083(A/2 – Z)2A-1 + 0,000627Z2A-1/3 + π0,036A-3/4
(3.1.11)
Для четных нуклидов π = –1; для нуклидов с нечетным А π = 0; для нечетных нуклидов π = +1.
К сожалению, эта формула весьма устарела: расхождения с действительными величинами масс может достигать даже 20 Мэв и имеет среднее значение около 10 Мэв.
В многочисленных дальнейших работах первоначально лишь уточняли коэффициенты или вводили некоторые не слишком важные дополнительные члены. Метрополис и Рейтвизнер еще раз уточнили формулу Бете–Вейцзекера:
M(A, Z) = 1,01464A + 0,014A2/3 + +0,041905
+ π0,036A-3/4
(3.1.12)
Для четных нуклидов π = –1; для нуклидов с нечетным А π = 0; для нечетных нуклидов π = +1.
Вапстра предложил учитывать влияние оболочек с помощью члена такого вида:
(3.1.13)
где Ai, ZiиWi – эмпирические постоянные, подбираемые по опытным данным для каждой оболочки.
Грин и Эдварс ввели в формулу масс следующий член, характеризующий влияние оболочек:
(3.1.14)
где αi, αj и Kij – постоянные, полученные из опыта;
и
– средние значения N и Z в данном интервале между заполненными оболочками.
п.3.2. Новые полуэмпирические формулы с учетом влияния оболочек
Камерон исходил из формулы Бете—Вейцзекера и сохранил два первых члена формулы (3.1.9). Член, выражающий поверхностную энергию ES(3.1.7), был изменен.

Рис. 3.2.1. Распределение плотности ядерной материи ρ по Камерону в зависимости от расстояния
до центра ядра. А—средний радиус ядра; Z — половина толщины поверхностного слоя ядра.
П
ри рассмотрении рассеяния электронов на ядрах, можно сделать вывод, что распределение плотности ядерной материи в ядре ρ трапециеобразно (рис. 16). За средний радиус ядра т можно принять расстояние от центра до точки, где плотность убывает вдвое (см. рис. 3.2.1). В результате обработки опытов Хофштедтера. Камерон предложил такую формулу для среднего радиуса ядер:
Он считает, что поверхностная энергия ядра пропорциональна квадрату среднего радиуса r2, и вводит поправку, предложенную Финбергом, учитывающую симметрию ядра. По Камерону, поверхностную энергию можно выразить так:
Ч

етвертый, кулоновский, член формулы (3.1.9) также был исправлен в связи с трапецеидальным распределением плотности ядра. Выражение для кулоновского члена имеет вид
К
роме того. Камерон ввел пятый кулоновский обменный член, характеризующий корреляцию в движении протонов в ядре и малую вероятность сближения протонов. Обменный член
Таким образом, избыток масс, по Камерону, выразится так:
М - А = 8,367А - 0,783Z + αА +β
+
+ ЕS + EC + Еα = П (Z, N).(3.2.5)
Подставив экспериментальные значения М—А методом наименьших квадратов получили следующие наиболее надежные значения эмпирических коэффициентов (в Мэв):
α=–17,0354; β=– 31,4506; γ=25,8357; φ=44,2355. (3.2.5а)
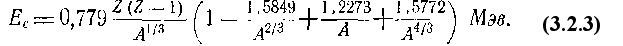
С помощью этих коэффициентов были вычислены массы. Расхождения между вычисленными и экспериментальными массами показаны на рис. 3.2.2. Как можно заметить, в некоторых случаях расхождения достигают 8 Мэв. Особенно велики они у нукли-дов с замкнутыми оболочками.
Камерон ввел дополнительные слагаемые: член, учитывающий влияние ядерных оболочек S(Z, N), и член P(Z, N), характеризующий парную энергию и учитывающий изменение массы в зависимости от четности N и Z:
М—А=П(Z, N)+S(Z, N)+P(Z, N). (3.2.6)

Рис. 3.2.2. Разности между значениями масс, вычисленными по основной формуле Камерона (3.2.5), и экспериментальными значениями тех же масс в зависимости от массового числа А.
При этом, т.к. теория не может предложить вида членов, который отражал бы некоторые скачкообразные изменения масс, он объединил их в одно выражение
T(Z, N)=S(Z, N)+P(Z. N). (3.2.7)
Далее была выдвинута гипотеза о том, что воздействие четности и оболочек зависит в отдельности от числа протонов Zи от числа нейтронов N, т.е.
T(Z, N)=T(Z) +T(N). (3.2.8)
Это разумное предложение, так как опытные данные подтверждают, что протонные оболочки заполняются независимо от нейтронных и парные энергии для протонов и нейтронов в первом приближении можно считать независимыми.
На основании таблиц масс Вапстра и Хьюзенга Камерон составил таблицы поправок T(Z) и T(N) на четность и заполнение оболочек.
Г. Ф. Драницына, использовав новые измерения масс Бано, Р. А. Демирханова и многочисленные новые измерения β- и α-распадов, уточнила значения поправок T(Z) и T(N) в области редких земель от Ва до Pb. Она составила новые таблицы избытков масс (М—А), вычисленных по исправленной формуле Камерона в этой области. В таблицах приведены также вычисленные заново энергии β-распадов нуклидов в той же области (56≤Z≤82).
Старые полуэмпирические формулы, охватывающие весь диапазон А, оказываются слишком неточными и дают очень большие расхождения с измеренными массами (порядка 10 Мэв). Создание Камероном таблиц с более чем 300 поправками уменьшило расхождение до 1 Мэв, но расхождения все же в сотни раз превышают погрешности измерений масс и их разностей. Тогда появилась идея разбить всю область нуклидов на подобласти и для каждой из них создать полуэмпирические формулы ограниченного применения. Такой путь и избрал Леви, который вместо одной формулы с универсальными коэффициентами, пригодными для всех А и Z, предложил формулу для отдельных участков последовательности нуклидов.
Наличие параболической зависимости от Z энергии связи нуклидов изобар требует, чтобы в формуле содержались члены до второй степени включительно. Поэтому Леви предложил такую функцию:
М(А, Z)=α0+ α1 А+ α2 Z+ α3 АZ+ α4 Z2+ α5 А2+δ;(3.2.9)
где α0, α1, α2, α3, α4, α5– численные коэффициенты, найденные по опытным данным для некоторых интервалов, а δ — член, учитывающий спаривание нуклонов и зависящий от четности NиZ.
Все массы нуклидов разбили на девять подобластей, ограниченных ядерными оболочками и подоболочками, и значения всех коэффициентов формулы (3.2.9) вычислили по экспериментальным данным для каждой из этих подобластей. Значения найденных коэффициентов та и члена δ, определяемого четностью, приведены в табл. 3.2.1 и 3.2.2. Как видно из таблиц, были учтены не только оболочки из 28, 50, 82 и 126 протонов или нейтронов, но и подоболочки из 40, 64 и 140 протонов или нейтронов.
Таблица 3.2.1
Коэффициенты α в формуле Леви (3.2.9), ма. е. м (16О =16)
Z | N | α0 | α1 | α2 | α3 | α4 | α5 |
29–40 29–40 29–40 41–50 51–64 51–64 65–82 >82 >82 | 29–40 41–50 51–82 51–82 51–82 83–126 83–126 127–140 >140 | –155,91 –150,06 +96,27 –135,41 –133,60 –672,82 –83,72 –1746,56 571,90 | 13,202 7,359 3,780 5,342 6,399 13,059 3,843 18,067 –1,407 | –21,956 –10,094 –17,406 –9,712 –13,465 –14,140 –10,680 –10,846 –12,238 | –0,9707 –0,7023 –0,5349 –0,5570 –0,4287 –0,4461 –0,4644 –0,4364 –0,3971 | 1,4544 0,9473 0,8150 0,7432 0,6417 0,6492 0,6464 0,6133 0,5706 | 0,11565 0,10340 0,10050 0,09758 0,06583 0,05370 0,08739 0,05171 0,08613 |
Таблица 3.2.2
Член δ в формуле Леви (3.2.9), определенный четностью, ма. е. м. (16О =16)
Z | N | δ при | |||
четном Z и четном N | нечетном Z и нечетном N | нечетном Z и четном N | четном Z и нечетном N | ||
29—40 29—40 29—40 41—50 51—64 51—64 65—82 82 | 29—40 41—50 51—82 51—82 51—82 83—126 83—126 127—140 | 0 0 0 0 0 0 0 0 | 2,65 3,08 2,02 3,08 2,52 2,09 1,61 1,66 | 1,44 1,84 1,27 1,54 1,12 0,96 0,84 1,01 | 2,20 1,82 0,75 1,44 1,13 0,73 0,76 0,88 |
По формуле Леви с этими коэффициентами (см. табл. 3.2.1 и 3.2.2) Риддель вычислил на электронно-счетной машине таблицу масс примерно для 4000 нуклидов. Сравнение 340 экспериментальных значений масс с вычисленными по формуле (3.2.9) показало хорошее согласие: в 75% случаев расхождение не превышает ±0,5 ма. е. м., в 86% случаев—не больше ±1,0мa.e.м. и в 95% случаев оно не выходит за пределы ±1,5 ма. е. м. Для энергии β-распадов согласие еще лучше. При этом количество коэффициентов и постоянных членов у Леви всего 81, а у Камерона их более 300.
Поправочные члены T(Z) и T(N) в формуле Леви заменены на отдельных участках между оболочками квадратичной функцией от Z или N. В этом нет ничего удивительного, так как между оболочками функции T(Z) и T(N) являются плавными функциями Z и N и не имеют особенностей, не позволяющих представить их на этих участках многочленами второй степени.
Зелдес рассматривает теорию ядерных оболочек и применяет новое квантовое число s—так называемое старшинство (seniority), введенное Рака. Квантовое число “старшинство" не является точным квантовым числом; оно совпадает с числом неспаренных нуклонов в ядре или, иначе, равно числу всех нуклонов в ядре за вычетом числа спаренных нуклонов с нулевым моментом. В основном состоянии во всех четных ядрах s=0; в ядрах с нечетным As=1 и в нечетных ядрах s=2. Используя квантовое число “старшинство” и предельно короткодействующие дельта-силы, Зелдес показал, что формула типа (3.2.9) соответствует теоретическим ожиданиям. Все коэффициенты формулы Леви были выражены Зелдесом через различные теоретические параметры ядра. Таким образом, хотя формула Леви появилась как чисто эмпирическая, результаты исследований Зелдеса показали, что ее вполне можно считать полуэмпирической, как и все предыдущие.
Формула Леви, по-видимому, лучшая из существующих, однако она имеет один существенный недостаток: она плохо применима на границе областей действия коэффициентов. Именно около Z и N, равных 28, 40, 50, 64, 82, 126 и 140, формула Леви дает самые большие расхождения, в особенности если по ней рассчитывать энергии β-распадов. Кроме того, коэффициенты формулы Леви вычислены без учета новейших значений масс и, по-видимому, должны быть уточнены. По мнению Б. С. Джелепова и Г. Ф. Драницыной, при этом вычислении следует уменьшить число подобластей с разными наборами коэффициентов α и δ, отбросив подоболочки Z=64 и N=140.
Формула Камерона содержит много постоянных. Этим же недостатком страдает и формула Бекеров. В первом варианте формулы Бекеры, исходя из того, что ядерные силы короткодействующие и обладают свойством насыщения, предположили, что ядро следует разделить на внешние нуклоны и внутреннюю часть, содержащую заполненные оболочки. Они приняли, что внешние нуклоны не взаимодействуют друг с другом, не считая энергии, выделяющейся при образовании пар. Из этой простой модели следует, что нуклоны одинаковой четности имеют энергию связи, вызванную связью с сердцевиной, зависящую только от избытка нейтронов I=N–Z. Таким образом, для энергии связи предложен первый вариант формулы
ЕB='(I)А+а' (I)+P' (A, I)((-1)N+(-1)Z)+S'(A, I)+R'(A,I), (3.2.10)
где Р'—член, учитывающий эффект спаривания, зависящий от четности N и ZS'—поправка на эффект оболочек; R'—малый остаток.
В этой формуле существенно предположение, что энергия связи на один нуклон, равная ', зависит только от избытка нейтронов I. Это означает, что сечения энергетической поверхности по линиям I=N–Z, самые длинные сечения, содержащие 30—60 нуклидов, должны иметь одинаковый уклон, т.е. должны характеризоваться прямой линией. Опытные данные подтверждают довольно хорошо это предположение. В дальнейшем Бекеры дополнили эту формулу еще одним членом:
ЕB=(I)А+а(I)+c(A)+P (A, I)((-1)N+(-1)Z)+S(A, I)+R(A,I). (3.2.11)
Сравнивая значения, полученные по этой формуле, с экспериментальными значениями масс Вапстра и Хьюзенга и уравнивая их по методу наименьших квадратов, Бекеры получили ряд значений коэффициентов и а для 2≤I≤58 и 6≤A≤258, т. е. более 400 цифровых постоянных. Для членов Р, учитывающих четность NиZ, они также приняли набор некоторых эмпирических значений.
Чтобы уменьшить число постоянных, были предложены формулы, в которых коэффициенты а, b и с представлены в виде функций от I и А. Однако вид этих функций весьма сложен, например функция (I) есть полином пятой степени от I и содержит, кроме того, два члена с синусом.
Таким образом, эта формула оказалась не проще формулы Камерона. По утверждению Бекеров, она дает значения, расходящиеся с измеренными массами для легких нуклидов не более ±400 кэв, а для тяжелых (A>180) не более ±200 кэв. У оболочек в отдельных случаях расхождение может достигать ± 1000 кэв. Недостаток работы Бекеров — отсутствие таблиц масс, вычисленных по этим формулам.
В заключение, подводя итоги, следует отметить, что существует очень большое число полуэмпирических формул разного качества. Несмотря на то, что первая из них, формула Бете— Вейцзекера, как будто устарела, она продолжает входить как составная часть почти во все самые новые формулы, кроме формул типа Леви — Зелдеса. Новые формулы достаточно сложны и вычисление по ним масс довольно трудоемко.
Литература
Завельский Ф.С. Взвешивание миров, атомов и элементарных частиц. –М.: Атомиздат, 1970.
Г. Фраунфельдер, Э. Хенли, Субъатомная физика. –М.: «Мир», 1979.
Кравцов В.А. Масса атомов и энергии связи ядер. –М.: Атомиздат, 1974.



