Магнитная постоянная. Единицы магнитной индукции и напряженности магнитного поля
Если два параллельных проводника с током находятся в вакууме (m=1), то сила взаимодействия на единицу длины проводника, согласно (111.5), равна

Для нахождения числового значения m0 воспользуемся определением ампера, со-
гласно которому при I1=I2=1А и R=1 м
dF/dl=2•10-7 Н/м. Подставив это значение в формулу (112.1), получим m0=4p•10-7 Н/А2=4p•10-7 Гн/м,
где генри(Гн) — единица индуктивности .
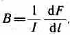
Закон Ампера позволяет определить единицу магнитной индукции В. Предположим, что элемент проводника dl с током I перпендикулярен направлению магнитного поля. Тогда закон Ампера (см. (111.2)) запишется в виде
dF=IBdl,
откуда

Единица магнитной индукции — тесла (Тл): 1 Тл—магнитная индукция такого однородного магнитного поля, которое действует с силой в 1 Н на каждый метр длины прямолинейного проводника, расположенного перпендикулярно направлению поля, если по этому проводнику проходит ток в 1 А:
1Тл=1Н/(А•м).
Так как m0= 4•10-7 Н/А2, а в случае вакуума (m=1), согласно (1.09.3), В =m0H, то для данного случая
H=В/m0.
Единица напряженности магнитного поля — ампер на метр (А/м): 1 А/м — напряженность такого поля, магнитная индукция которого в вакууме равна 4p•10-7 Тл.