Функции комплексной переменной. Непрерывность. Области и границы
Содержание
Введение............................................................................................................................................ 3
Учебно-тематический план курса «Бухгалтерский учет и аудит»..... 4
Тема 1. Общая характеристика бухгалтерского учета............................... 6
Тема 2. Предмет и метод бухгалтерского учета............................................... 14
Тема 3. Бухгалтерский баланс....................................................................................... 24
Тема 4. Счета и двойная запись..................................................................................... 28
Тема 5. Классификация счетов бухгалтерского учета............................. 38
Тема 6. Стоимостное измерение и основы учета хозяйственных процессов................................................................................................................................................................ 59
Тема 7. Первичное наблюдение в бухгалтерском учете............................ 68
Тема 8. Учетные регистры.................................................................................................. 80
Тема 9. Формы бухгалтерского учета...................................................................... 86
Тема 10. Бухгалтерская отчетность.......................................................................... 95
Тема 11. Основы организации бухгалтерского учета................................ 100
Тема 12. Сущность аудита............................................................................................... 113
Тема 13. Подготовка и планирование аудита.................................................... 124
Тема 14. Проведение аудиторской проверки...................................................... 135
Тема 15. Аудиторское заключение: общие принципы составления 145
приложение 1............................................................................................................................. 154
Приложение 2............................................................................................................................. 156
Литература.................................................................................................................................. 164
Издатель: Витебский филиал Учреждения образования Федерации профсоюзов Беларуси «Международный институт трудовых и социальных отношений»
Лицензия ЛВ № 437 от 14.10.2004
210015, г.Витебск, ул. Правды, 8а
Подписано в печать ________2006 г. Формат 60х84 1/16 Бумага офсетная
Гарнитура Times. Усл. печ.л. _____
Уч.изд.л._____
Тираж _____ экз. Заказ № ______
Если хи у- действительные переменные,
- мнимая единица, то переменная
называется комплексной переменной. Действительную и мнимую части комплексной переменной Z обозначают
.
Если каждому значению Zиз множества Zпоставить в соответствие одно или несколько значений другой комплексной переменной
то комплексная переменная Wназывается функцией Zв области Z, и пишут 
Функция
называется однозначной, если каждому значению
, ставится в соответствие только одно значение W,и многозначной, если несколько значений W.
Если
- действительная часть функции W,
- мнимая часть функции W,то функция
записывается в виде суммы действительной и мнимой части.
(1.1)
Однозначная функция
при
имеет определенный предел с (z0 и с – комплексные числа), если для всякого
найдется такое число
, что из неравенства
следует неравенство
. При этом пишут 
Функция
называется непрерывной в точке
, если она определена в некоторой окрестности
и в самой этой точке и
Функция, непрерывная в каждой точке некоторой области D, называется непрерывной в этой области.
Для непрерывности
в точке
необходимо и достаточно, чтобы функции
были непрерывными в точке
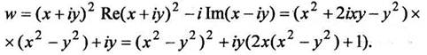
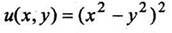
Пример 1. Исследовать на непрерывность функцию

РЕШЕНИЕ. Запишем функцию в виде (1).

Отсюда следует, что функции
и
непрерывны на плоскости
значит данная функция W также непрерывна на всей комплексной плоскостиZ.
Область D - это множество точек, обладающих свойством открытости (вместе с точкой области Dпринадлежит и достаточно малый круг с центром в этой точке) и свойством связности (две любые точки Dможно соединить ломаной, полностью лежащей в D).
Замкнутой областью Dназывают область Dс присоединенной к ней границей Г.
Область Dназывают ограниченной, если она принадлежит некоторому кругу

Порядком связности ограниченной области Dназывается число связных частей, на которые разбивается её граница. Граница может состоять из замкнутых линий, разрезов и точек.
Границы области могут задаваться уравнениями кривых, которые рассмотрим на примере.
Пример 2. Определить виды кривых:
a) 
РЕШЕНИЕ
- уравнение окружности с центром в точке
и радиусом R.

РЕШЕНИЕ Это уравнение равносильно уравнению.
|
— уравнение луча, выходящего из точки
и образующего с положительным направлением оси Xугол 
|
РЕШЕНИЕ
В данном случае действительная и мнимая части комплексного переменного заданы параметрически. Исключим параметр t из уравнений
,
|
вычитая из первого уравнения второе:
|
Полученное уравнение определяет прямую линию.
,