Входная характеристика биполярного транзистора.
Рис. 4.1 Схематическое устройство и условное графическое обозначение биполярного транзистора.
Биполярные транзисторы (БТ). Устройство БТ.
ОСНОВЫ ЭЛЕКТРОНИКИ
Лекция №4
Биполярные транзисторы (рис.4.1) содержат три области из полупроводниковых материалов и два p-n -перехода.

Каждая из областей БТ имеет металлический электрод, с помощью которого транзистор соединяют с внешней электронной цепью. Электрод и соединенная с ним область, где формируются основные носители зарядов, называется эмиттером (Э). Второй крайний электрод называется коллектором (К). Средний электрод и сравнительно узкая область, которая соединена с ним, называется базой (Б). Это управляющий электрод, с помощью которого изменяется состояние p-n-переходов. Физические процессы БТ определяются свойствами двух p-n-переходов и зависят от полярности напряжений между электродами транзистора. Имеется два типа транзисторов: p-n-p- типа (рис.4.1а) и n-p-n- типа (рис.4.1б), но чаще используются n-p-n- типа, т.к. они лучше.
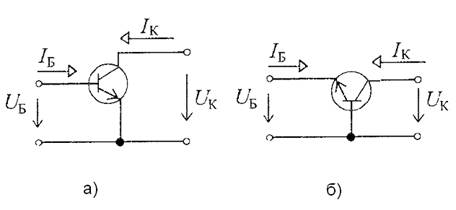
Свойства транзистора зависят от схемы включения. Используют три схемы включения БТ: с общим эмиттером (рис.4.2а), с общей базой (рис.4.2б) и с общим коллектором, которая будет рассмотрена позже.

Рис. 4.2.Схемы включения биполярного n-p-n транзистора (а- с общим эмиттером, б- с общей базой.
Свойства транзистора наиболее полно описываются вольтамперными характеристиками (ВАХ).
Ток базы БТ связан с напряжением между базой и эмиттером входной характеристикой I Б (U Б) при постоянном напряжении U К между коллектором и эмиттером. Эта зависимость аналогична по форме ВАХ диода в прямом направлении. Схема для получения входной характеристики транзистора приведена на рис. 4.3.
