Действия с комплексными числами
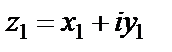
Определение.Суммой комплексных чисел
называется комплексное число
.
Замечание.Разность
определяется так:
.
Определение.Произведением комплексных чисел
и
называется комплексное число
.
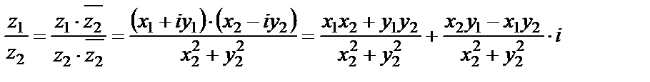
Определение.Частным
комплексных чисел
и
называется комплексное число 
Умножение и деление комплексных чисел в тригонометрической и показательных формах.
Если
, а
, то

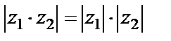
Свойства сопряженных чисел и модуля комплексного числа
| а) |
| а) |
|
| б) |
| б) |
|
| в) |
| в) |
|
| г) |
| г) |
|
| д) |
| д) |
|
| е) |
|
Возведение в степень и извлечение корня n-й степени
, (4)
, где
. (5)