Задача №3
Рассчитать величину эквивалентной дозы, которую получат люди на радиационной загрязненной местности после ядерного взрыва в течение 6 часов.
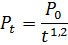
, t= 10 ч , 



30% = 31,52 мРад
мРад
мБэр
Зв


д

30% = 25,45 мРад
мРад
мБэр
Зв
Вывод: Данная доза превышает установленный норматив.