De Novo синтез пуриновых нуклеотидов.
Пуриновые основания собираются на рибозе при участии нескольких амидотрансферазных и трансформилирующих реакции. Весь процесс можно разделить на 2 этапа:
· а) образование ИМФ - исходного предшественника для синтеза главных пуриновых нуклеотидов
· б) преобразование ИМФ в АМФ и ГМФ.
Для синтеза ИМФ необходимо пять молей ATФ, два моля глутамина (атомы 3,9), один моль глицина (атомы 4,5,7) , один моль CO2 (атом 6), один моль аспартата(атом 1) и два моля формиата (атомы 2,8). Формильный фрагмент переносится при участии тетрагидрофолиевой кислоты (ТГФ) в форме N5, N10-метенил-ТГФ и N10-формил-ТГФ (см рис 9-14).
![]() |
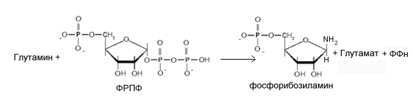
Ключевая реакция. Биосинтез пуриновых нуклеотидов происходит активно в цитозоле печени, где присутствуют все необходимые ферменты в форме макромолекулярного агрегата. Первый шаг - замена пирофосфата ФРПФ амидной группой глутамина катализируется фосфорибозипирофосфат амидотрансферазой.
Продукт этой реакции - 5-фосфорибозиламин (ФРА). Аминогруппа глутамина, перенесенная на С1 рибоза-1-фосфата становится атомом N 9 будущего кольца пурина. Это - ключевая и ограничивающая скорость реакция пути синтеза пуриновых нуклеотидов.
Фермент находится под жестким аллостерическим контролем путем торможения по типу обратной связи. И AMФ, и ГМФ, и ИМФ порознь ингибируют активность амидотрансферазы, так же как и пары AMФ + ГМФ или AMФ + ИМФ. Этим обеспечивается тонкий постоянный контроль активности этого фермента. Нуклеотиды ингибируют фермент, способствуя агрегации небольших активных молекул в неактивные агрегаты молекул.
Коцентрация ФРПФ также играет существенную роль в регуляции скорости ключевой реакции. Нормальные внутриклеточные концентрации ФРПФ (которые могут и колебаться) - ниже Км фермента для ФРПФ, что создает возможности для увеличения скорости реакции, путем увеличения концентрации субстрата. Исследование зависимости скорости реакции от концентрации ФРПФ описывается S-образной кривой.
|
| . Основные регуляторы активности глутамин-ФРПФ амидотрансферазы |
![]() |
Фермент мало чувствителен к изменениям концентрации глутамина, (кинетика гиперболическая, а концентрация глутамина соответсвует Км). Очень высокая концен
. Реакции образования ИМФ- первого пуринового нуклеотида.
трация ФРПФ может снимать обычный ингибирующий эффект, вызываемый нуклеотидами, заставляя неактивные агрегаты фермента диссоциировать с образованием активных молекул. Скорость синтеза ФРПФ зависит от наличия субстратов синтеза (рибоза-5-фосфата) и каталитической активности ФРПФ-синтазы, активность которой в свою очередь зависит от концентрации мононуклеотидов , выступающих в роли аллостерических регуляторов
![]() |
Cинтез пуринов de novo - сложный, многоступенчатый, потребляющий большое количество энергии и тщательно регулируемый путь После образования 5-фосфорибозиламина, остальная часть мме присоединения химических групп, образуя сначала пяти - а затем шестичленное кольца пурина. Целая молекула глицина (реакция 1), за счет ATФ присоединяется к аминогруппе ФРА, образуя глицинамид рибозидфосфат (ГАР). Эту реакцию катализирует глицинамид-киносинтетаза.. Углеродные атомы глицина становятся атомами С4 и С5, а
![]() |
Cинтез пуринов de novo - сложный, многоступенчатый, потребляющий большое количество энергии и тщательно регулируемый путь После образования 5-фосфорибозиламина, остальная часть молекулы формируется серией реакций в форме присоединения химических групп, образуя сначала пяти - а затем шестичленное кольца пурина. Целая молекула глицина (реакция 1), за счет ATФ присоединяется к аминогруппе ФРА, образуя глицинамид рибозидфосфат (ГАР). Эту реакцию катализирует глицинамид-киносинтетаза.. Углеродные атомы глицина становятся атомами С4 и С5, а
Реакции образования АМФ и ГМФ из ИМФ
атом азота - N7 кольца пурина. Этот атом азота формилируется при участии глицинамид-рибозилфосфат –формилтрансферазы.(реакция 2). Донором формильной группы является N5, N10 метенилтетрагидрофолат. Атом углерода этой группы займет положение С8 в кольце пурина. Вторая молекула глутамина участвует в реакции 3. Амидирование происходит по атому С4 формилглицинамид - рибозилфосфата и катализируется формилглицинамид рибозилфосфатсинтетазой. Присоединяемый атом азота займет положение N3. Замыкание пятичленного (имидазольного) кольца происходит в реакции 4 под вли аминоимидазолилрибозилфосфатсинтетазы. Аминоимидазолрибозилфосфат карбоксилируется (реакция 5) с образованием аминоимидазолкарбоксилат-рибозилфосфата.
a-Аминогруппа аспарагиновой кислоты в следующей реакции (реакция 6) становится донором азота кольца в положении N1.Сукцинильный фрагмент аспарагиновой кислоты удаляется в форме фумаровой кислоты. В результате возникает аминоимидазолкарбоксиламид – рибозилфосфат, который формилируется (реакция 7) N10-формилтетрагидрофолатом под влиянием формилтрансферазы. Вновь присоединенный атом углерода займет в молекуле пурина положение 2. ИМФ-циклогидролаза (реакция 8) завершает формирование пуринового нуклеотида, катализируя замыкание 6-членного кольца пурина. В результате образуется первый пуриновый нуклеотид – инозиновая кислота, (инозинмонофосфат ИМФ). На образование ИМФ расходуется 4 моля АТФ.
![]() |
Образование AMФ и ГМФ(рис.9-19).ИМФ может затем превратится или в AMФ или в ГМФ. Образование ГМФ протекает в 2 стадии. Вначале ИМФ окисляется
Рис. 9.20.Основные принципы регуляции синтеза пуриновых нуклеотидов.
при участии НАД зависимой ИМФ дегидрогеназы с образованием ксантинмонофосфата (КсMP). Последний во второй стадии аминируется при участии амидогруппы глутамина, используя молекулу АТФ. При этом АТФ гидролизуется до АМФ и ФФн . Атом кислорода в позиции 2 замещается амидной группой глутамина.
Образование АМФ также протекает в 2 стадии. ИМФ вначале аминируется с участием аспарагиновой кислоты. Механизм аминирования подобен реакции биосинтеза пуринового нуклеотида, в которой альфа аминогруппа аспарагиновой кислоты формирует атом N1 пуринового кольца. Аминирование ИМФ сопровождается образованием промежуточного соединения аденилосукцината. На втором этапе аденилосукцинат теряет атомы углерода аспарагиновой кислоты в составе фумарата, аминогруппа аспарагиновой кислоты становится 6-аминогруппой кольца аденина.




