Статический и динамический моменты
Механическая часть ЭП – ротор (якорь) ЭД, элементы механической передачи (редуктор); ИО рабочей машины.
Движение механической части ЭП подчиняется законом механики. Рассмотрим простейшую схему ЭП:
ЭД вращает точильный круг, находящийся на валу.
М – момент на валу ЭД (вращающий);
Мс – момент сопротивления ИО (создается за счет срезания слоя металла с затачиваемого инструмента) – статический момент.
Статические моменты бывают:
Активный Мс – действует всегда в одном направлении независимо от того, находится ли система в покое или движется в ту или иную сторону.
Например: момент висящего груза (см. рисунок 2.2).
Реактивный Мс – действует только при движении и направлен всегда против движения (см. рисунок 2.3).
Например: момент, создаваемый силами трения, обусловленный резаньем металла.
Чтобы ЭП вращался момент двигателя М должен преодолевать статический момент Мс. Если М≠Мс, то возникает динамический момент:
, где
– угловое ускорение.
J = m∙r2 [кг∙м2] – момент инерции всех вращающихся масс (m – масса тела, r – радиус инерции); J характеризует инертность привода.
Иногда в справочниках указывается не момент инерции J, а маховый момент (Mм) – произведение веса тела на диаметр инерции:
Mм=G·D2 [кг∙м2], где G – вес.
, если GD2 в [кг∙м2],
, если GD2 в [Н∙м2]
2.2 Уравнение движения электропривода

1) M>Мс, тогда
(+), →
(+), → ускорение ЭП (скорость ω ↑)
2) M=Мс, тогда
=0, → ω=const (частный случай ω=0), → ЭП вращается с постоянной скоростью;
|
(-), → торможение ЭП (ω ↓)
В общем виде уравнение имеет вид:
"+" в том случае, когда момент направлен согласно, "–" – когда против движения.
1) 
Например: передвижение моста/тележки крана.
2)
– электрическое торможение механизма.
Например: при переключении фаз момент у ЭД тормозной
3) 
Например: тормозной спуск тяжелых грузов. ЭД включен на подъем, а тяжелый груз опускается (см. рисунок 2.4 а).
4) 
Например: ЭД включается на спуск легкого груза (силовой спуск – см. рисунок 2.4 б).
2.3 Механические характеристики
Эксплуатационные свойства ЭП зависят от соотношения момента и скорости движения ИО.
Зависимости ω=f(Mc), n=f(Mc) – называются механическими характеристиками производственного механизма (рисунок 2.5):
1 – Mc = const (брус на барабане)
2 – Mc ~ ω (генератор постоянного тока с независимым возбуждением, работающий на R=const)
3 – Mc ~ ω2 (вентиляторы, компрессоры)
Зависимости ω=f(Mc), n=f(Mc) – называются механическими характеристиками ЭД (рисунок 2.6).
1 – Синхронный двигатель;
2 – ЭД постоянного тока независимого возбуждения;
3 – ЭД постоянного тока последовательного возбуждения;
4 – Асинхронный двигатель;
Если графики 2.5 и 2.6 совместить, то получим точку установившегося режима.
В точке А (рисунок 2.7) Мс=М, значит это точка установившейся работы (со скоростью ωуст)
2.4 Жесткость характеристики


На рисунке 2.8:
1 – абсолютно жесткая (СД)
2 – жесткая (ДПТ НВ, АД)
3 – мягкая (ДПТ ПВ, АД с добавочным сопротивлением в цепи ротора)
4 – абсолютно мягкая (груз на валу)
2.5 Приведение статических моментов и моментов инерции
Элементы механической части ЭП связаны между собой и оказывают друг на друга воздействие.
Приведение –пересчет входящих в уравнение движения сил, моментов, масс, моментов инерции к элементу, движение которого рассматривается (чаще к валу ЭД).
Для расчетов реальную систему (ЭД, редуктор, барабан, груз – см. рисунки 2.10, 2.12, 2.13) приводят в простейшую (см. рисунок 2.9, 2.11).
ПИМ – приведенный исполнительный механизм.
Условия приведения.
1) при данной скорости вращения ЭД мощность, требуемая ПИМ должна быть равна мощности реальной системы;
2) при данной скорости ЭД запас кинетической энергии ПИМ должен быть равен реальной системы.
I. Приведение Мс:
1. Вращательное движение ИМ.
P1=М1∙ω1 – мощность на валу двигателя
P2=М2∙ω2 – мощность, требуемая на валу ИМ
С учетом потерь: P1= P2 /ηр

где ηр – КПД редуктора
i – передаточное число i = ω1/ω2

– формула приведения момента сопротивления

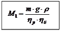
2. Поступательное движение ИМ.
Р2=mgv – мощность, требующаяся для подъема груза
Pэд=М1∙ω1 – на валу ЭД
С учетом потерь:

Приведенный момент сопротивления
, где
– радиус приведения
3. Двигатель через редуктор вращает барабан и поднимает груз.





,
где
– радиус приведения

4. Спуск тяжелых грузов.
Опускание происходит за счет веса груза. Чтобы скорость была постоянной, ЭД должен развивать тормозящий момент. Энергия передается от груза к валу двигателя (т.е. наоборот), → ЭД развивает меньший момент.
