Поскольку в модели Тевеса присутствует процентная ставка, то инвестиционная активность фирм будет зависеть от нее.
Т.е. в текущем периоде спрос на деньги для сделок зависит от дохода предшествующего периода, а спрос на них как имущество - от текущей ставки процента, что вытекает из предназначения каждой из частей кассовых остатков.
Т. Тевес дополнил модель Самуэльсона-Хикса рынком денег, который в соответствии с моделью IS-LM взаимодействует на рынок благ через ставку процента.
В используемых нами обозначениях динамическая функция спроса на деньги в модели Тевеса имеет вид
Lt = Ly*Yt–1 + Li*imax – Li*it
Предложение денег задано экзогенно и равно M.
При заданном уровне цен P = 1 на рынке денег установится динамическое равновесие, если
M=Ly*Yt-1+Li(imax-it)
Из этого уравнения вытекает формула для вычисления процентной ставки в текущем и предшествующем ему периодах :

Без особых обоснований в модели предполагается, что инвестиции состоят из автономных инвестиций, линейно убывающих при росте процентной ставки в предшествующем периоде и индуцированных инвестиций, ведущих себя также, как в модели Самуэльсона–Хикса:
It = Ii*(imax – it–1 ) + ν*(Yt–1 – Yt–2 )
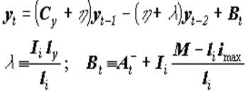
Тогда, обозначив A't– максимальный автономный спрос, уравнение, задающее величину национального дохода в текущем периоде, можно записать так :
Yt = MPC*Yt–1 + ν*(Yt–1– Yt–2) – Ii*it–1 + A't
что после подстановки выражения для процентной ставки в периоде t–1 превращается в уравнение Тевеса :
