Любая прямая на плоскости XOY представляется линейным уравнением вида . И наоборот, любое линейное уравнение вида описывает прямую на плоскости XOY.
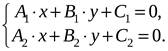
Взаимное расположение двух прямых на плоскости.Рассмотрим две прямые, задаваемы уравнениями
и
.
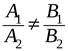
Возможны следующие случаи взаимного расположения этих прямых: 1) прямые совпадают, 2) прямые параллельны, 3) прямые пересекаются в одной точке. Исследуем соотношение между коэффициентами уравнений прямых в каждом из перечисленных случаев.
В случае 1) оба уравнения, описывающие одну и ту же прямую, должны совпадать или отличаться коэффициентом, на который можно сократить.

Таким образом, в данном случае
.
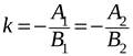
В случае 2) угловые коэффициенты обеих прямых одинаковы. То есть,

. Отсюда получим условие параллельности:
.
В случае 3) угловые коэффициенты прямых разные, то есть,
, и

следовательно, прямые пересекаются в одной точке.
Найти точку пересечения двух прямых
и
– это значит, найти решение системы 
Случай
означает, что и главная матрица системы, и расширенная матрица системы имеют одинаковый ранг 1. Поэтому, хотя главный определитель системы равен нулю, система разрешима и имеет бесконечное множество решений.
Случай
означает, что главный определитель системы равен нулю, при этом главная матрица системы имеет ранг 1, а расширенная матрица системы имеет ранг 2, поэтому система не имеет решений.
Случай
означает, что главный определитель системы отличен от нуля, и следовательно, единственное решение системы можно найти, например, с помощью правила Крамера.
Точка в пространстве XYZзадается уже тремя декартовыми координатами
, которые являются проекциями точки на соответствующие оси координат.

Простейшей из пространственных поверхностей является плоскость – геометрическое место таких точек, что отрезок, соединяющий любые две из них, перпендикулярен данному вектору, называемому нормалью к плоскости.
Зададим плоскость с данной нормалью 
с помощью точки
с координатами
, лежащей в этой плоскости.


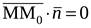
Если взять произвольную, отличную от
, точку M с координатами
в данной плоскости, то согласно определению и условию взаимной перпендикулярности двух векторов (скалярное произведение этих векторов равно нулю) имеем
. Используя координаты этих векторов получим условие взаимной перпендикулярности в виде
.
Последнее уравнение и есть уравнение плоскости, проходящей через данную точку. В частности, уравнения плоскостей, параллельных координатным плоскостям, имеют вид
,
или
.