Система качества.
Обратная связь с потребителями.
Краткое описание продукции.
Требование в области маркетинга.
Анализ в системе маркетинга
Доделать.
Обеспечение эффективного использования наличных ресурсов и удовлетворение потребительских требований от субъектов экономических взаимоотношений требуют проведения глубокого анализа протекающих на рынке процессов. Для этого необходима серьезная проработка рынков выпускаемой и намечаемой к производству продукции и
технико-экономическое обоснование планируемых изменений, что невозможно без маркетинговых исследований.
Основополагающий принцип маркетинга: Не пытайтесь сбывать то, что вам удалось выпустить, а производите то, что у вас безусловно будет куплено.
В рекомендациях по применению ГОСТов 40.900188, 40.900288 (ИСО 9002) и 40.9000388 (ИСО 9003) в разделе 3.2.1. « Качество в рамках маркетинга» предусмотрено следующее:
Функция, играющая в маркетинге ведущую роль в определении требований к качеству продукции, должна:
- определить потребности в продукции;
- давать точное определение рыночного спроса и области реализации, поскольку это важно для оценки сортности, требуемого количества, стоимости и сроков производства продукции.
Функция маркетинга должна обеспечивать полный перечень руководящих указаний по требованиям, предъявленных к продукции. Наряду с характеристикой самой продукции в числе элементов, включаемых в краткое описание продукции, могут быть также следующие: схема и установка монтажа, упаковка, обеспечение и проверка качества.
Функция маркетинга должна устанавливать на постоянной основе систему обратной связи и контроля получаемой информации. Вся информация, относящаяся к качеству продукции, должна сравниваться, анализироваться в соответствии с установленными процедурами. Она помогает определить характер и объем проблем, связанных с производством продукции, на основании опыта и пожеланий потребителя.
Она должна предусматривать:
- проведение мероприятий, предотвращающих ошибки в маркетинге;
- постоянное улучшение работ в маркетинге.
По степени развития маркетинга различают:
Распределительный маркетинг, который предполагает в основном только развитую торговую деятельность, а именно, деятельность по сбыту продукции, организация транспортировки и т.д.
Функциональный маркетинг, который выполняет функции не только в сфере торговли, но в производстве, а также решает задачи по изучению рынков сбыта, по ценовой политики предприятия.
Управленческий маркетинг, в основе которого, используя информацию о рынке, лежит концепция создания, производства и реализация товара.
Маркетинговое исследование представляет собой сбор, обработку и анализ системы показателей для исследования конъюнктуры рынка.
Основными показателями данного исследования являются:
- показатели производства;
- показатели внутреннего товарооборота;
- показатели внешней торговли;
- показатели уровня цен;
- финансовые показатели.
Процесс анализа состоит из следующих этапов:
I этап. Выделяются основные факторы, влияющие на конъюнктуру рынка, которые оцениваются через систему статистических показателей.
II этап. Строятся динамические ряды по каждому показателю, с помощью которых отражается действие соответствующего фактора в прошлом.
III этап. На основе имеющихся оценок определяется значимость и степень воздействия основных факторов на конъюнктуру рынка в будущем. При этом необходимо установить главные причины изменения объема выпуска товаров, ввод новых производственных мощностей, повышение уровня автоматизации, активизация или снижение спроса.
IV заключительный этап. Определяется общий итог взаимодействия всех факторов и выявляется место и роль каждого из них в формировании конъюнктуры.
Основными элементами маркетингового исследования являются: схема распространения товаров, ценообразование, реклама, методы стимулирования продаж, организация послепродажного обслуживания клиентов (для технических товаров), формирование общественного мнения о фирме и товарах.
Процесс формирования рыночной цены включает в себя несколько этапов: постановку задач ценообразования, определение спроса, оценку издержек, проведение анализа цен и товаров конкурентов, выбор метода установления цен, определение окончательной цены и правил ее будущих изменений, учет мер государственного регулирования цен.
Ценообразование – основа для принятия коммерческого решения и в зависимости от целей стратегия его может быть различной:
1. Стратегия ценового проникновения. Фирма устанавливает заниженные цены на свою продукцию с целью привлечения покупателей и увеличения объема продаж.
2. Стратегия снятия сливок. Здесь имеется в виду кратковременное конъюнктурное повышение цен с целью максимизации прибыли.
3. Стратегия среднерыночных цен.
4. Стратегия преимущественной цены. За счет улучшения качества установление цены выше, чем у конкурентов.
5. Стратегия следования за конкурентом.
6. Стратегия дифференциации цены на взаимосвязанные товары.
7. Стратегия ценовой дискриминации. Продажа одного и того же то вара разным клиентам по разным ценам.
8. Стратегия ценовых линий. Использование резкой дифференциации цен на ассортиментные виды с целью создать представление у покупателей о принципиальной разнице в качестве.
9. Стратегия исчерпания или скользящей падающей цены. Цены снижаются редко, но значительно.
10. Стратегия роста проникающей цены. После выхода на рынок с заниженной ценой и захвата определенной доли рынка, цену резко повышают.
11. Стратегия стабильных цен. Рассчитана на постоянных клиентов.
Немаловажное значение на выбор цены влияет эластичность спроса, т.е. емкость рынка: сколько товаров можно продать при различных уровнях цен. В идеале необходимо построить математическую зависимость возможного объема продаж от уровня цен. Построение графика эластичности спроса от цен упрощает эту задачу. Используя информацию о цене товара и количестве товара, проданного по этой цене, производят на графике построение кривых спроса и предложения. Далее определяют эластичность или неэластичность спроса на различных ценовых интервалах и изменение выручки в случае изменения цены товара. Проиллюстрируем это на примере (рис. 4.1). По оси Х отражается количество товара, а по оси Y цена товара. Площадь прямоугольника ОЦ1П1 К1 является выручкой продукции по цене Ц1. Если цена снижается до уровня Ц2, то объем продаж возрастет до П2 единиц. Выручка становится равна прямоугольнику ОЦ2П2К2. При этом потеря выручки в виде прямоугольника Ц2Ц1П1В из-за снижения цены товара меньше прироста выручки (прямоугольник К1ВП2К2), полученной в результате увеличения продаж за счет снижения цены. Это происходит при эластичности спроса. Если цена и выручка меняются в одном направлении, то спрос будет неэластичным.

Маркетологи делят все товары на две основные группы: товары с неэластичным спросом и товары с эластичным спросом.
Товары первой группы таковы, что объемы их продаж почти не меняются при росте цен. Это можно объяснить следующими причинами:
1) данный товар первой необходимости, без которого невозможно обойтись (например, основные продукты питания);
2) товару нет замены или его производит один монополист;
3) потребители привыкли к данному товару и не торопятся отказаться от него даже при росте цен;
4) потребители считают, что рост цен обусловлен ростом качества или инфляцией и смиряются с этим положением, сокращая другие статьи своих расходов.
Товары эластичного спроса отличаются сильной зависимостью объемов продаж от уровней цен: при росте цен объемы продажи быстро падают.
Для каждого товара кривая эластичности спроса имеет свой вид. Точная оценка формы кривой эластичности спроса дело довольно сложное и дорогостоящее, поэтому надо определить вид этой кривой хотя бы приближенно на основе экспертных оценок опытных специалистов по торговле товарами того типа, который необходимо выпускать. Экспертная оценка эластичности спроса покажет ту максимальную цену, по которой товар может быть принят рынком. Но максимальная цена это не то же самое, что наилучшая цена, поэтому необходимо на следующем этапе производить оценку издержек, чтобы находить пути их снижения. К сожалению, это обязательное условие для разумного бизнеса в нашей стране в погоне за прибылью предприниматели не используют. Отсюда возникает ситуация снижения спроса на их продукцию по причине либо государственных антиинфляционных мероприятий, либо за счет снижения жизненного уровня населения.
В рыночной экономике, учитывая запросы покупателей, изготовители ориентируются на цену: чем выше цена, тем большую прибыль она содержит, тем выгоднее наращивать объемы выпуска товаров, пользующихся спросом. Однако наращивание производства требует дополнительных инвестиций, а источником их является прибыль. Прибыль же не что другое, как разность между выручкой и себестоимостью. Следовательно, чем ниже себестоимость, тем выше прибыль, полученная с каждой единицы товара. Используя рис. 4.1, можно смоделировать, что чем ниже цена, по которой производитель согласен продать товар, тем более полого будет проходить кривая эластичности спроса и тем выше будет количество реализованной продукции. В этом случае, при потере прибыли с каждой единицы товара, в целом по общей ее массе произойдет выигрыш. И наоборот, стремясь получить максимальную прибыль с каждой единицы товара, при увеличении цены произойдет снижение общего количества продаж, а отсюда, возможно, и общей массы прибыли. Возможность маневра при выборе коммерческих стратегий прямо зависит от затрат на изготовление товара. Издержки определяют ту минимальную цену, на которую можно пойти, столкнувшись с конкуренцией или затовариванием. Формула определения минимально приемлемого для фирмы уровня цены такова (Цм):

В нашей стране, в отличие от зарубежной практики, показатель Дп. новый; в отечественной экономике применяется показатель рентабельности (отношение прибыли к себестоимости или к стоимости фондов)
На следующем этапе необходимо провести анализ себестоимости, разделив ее на две части: условно-постоянные и условно-переменные затраты, что имеет большое значение для обоснования коммерческой деятельности. Рисунок 4.2. приводится из работы и показывает структуру себестоимости и различия в динамике условно-переменных затрат, которые играют решающую роль в изменении себестоимости продукции.

В период создания нового предприятия или внедрения новой продукции издержки обычно высоки и растут по мере увеличения объема производства; на графике рост условно-переменных затрат. В этот пери од технология и организация производства еще не отлажены, отсюда низкая производительность труда и высок уровень брака.
В дальнейшем, по мере освоения производства, себестоимость выравнивается и происходит ее некоторое снижение, во-первых, за счет сокращения потерь от брака и увеличения производительности труда и, во-вторых, срабатывает эффект роста объема выпуска (эффект масштаба). В силу стабильности условно-постоянных затрат рост объема выпуска ведет к сокращению этих затрат в себестоимости единицы продукции.
Новый подъем себестоимости при наращивании объема выпуска объясняется необходимостью в дополнительных вложениях в производство, связанных с расширением площадей, приобретением дополнительного оборудования, обучением новых работников. Если продукция пользуется спросом, то данный прирост затрат при наращивании выпуска окупится и приведет в дальнейшем к снижению себестоимости.
На рисунке 4.3 показаны кривые валового дохода и себестоимости продукции, которые дважды пересекаются.

Первая точка пересечения точка безубыточности, во второй точ ке пересечения выпуск продукции вновь становится убыточным. Между двумя точками пересечения находится зона прибыльности.
Используя в ценообразовании стратегий преимущественной цены или следования за конкурентом, необходимо провести анализ цен и то варов конкурентов, что является довольно сложной задачей. В рыночной экономике информация о ценах по конкретным сделкам чаще всего является коммерческой тайной изготовителя, и узнать ее практически не возможно. Объявляются лишь так называемые цены предложения (цены оферт), которые отличаются от цен реальных поставок из-за использования разнообразных скидок. При изучении товаров и цен конкурентов преследуется одна цель – определить так называемую цену безразличия, т.е. цену, при которой покупателю будет безразлично, чей товар покупать: ваш или ваших конкурентов.
Для каждого предприятия решение этого вопроса будет зависеть от особенностей товара, репутации и возможности фирмы, но при этом надо стремиться к преодолению цены безразличия пониженной ценой, улучшая качество изделий и условия сервиса.
Следующий этап ценообразования – выбор метода установления цен.
Практика рыночного ценообразования знает ряд широко распространенных приемов и методов установления цен. Первый из них носит название затратного и очень напоминает ценообразование, которое десятилетиями практиковалось в нашей стране. Данная модель была уже рассмотрена при определении минимальной цены, учитывающей уровень себестоимости и долю прибыли в структуре цены. Метод достаточно простой и применяется, когда на рынке нет конкурентов и в ближайшее время не предвидится.
Существует еще один метод, который получил название глупое следование за конкурентом. Суть этого метода состоит в том, что предприятие устанавливается на свои товары цены той компании, которая является лидером на данном рынке. Этот метод приемлем для небольших фирм, которым не по карману дорогостоящие маркетинговые исследования, однако у него есть свои минусы. Избрав подобную стратегию, компания привязывает себя к фирме лидеру и теряет самостоятельность в коммерческих решениях.
Самым сложным и надежным является метод, сочетающий в себе анализ себестоимости продукции и формирование цен с учетом маркетинговой тактики фирмы. Избрав тот или иной метод формирования цены, предприниматель должен обосновать в бизнес-плане причины своего выбора.
После установления цены на следующем этапе необходимо установить окончательный размер цены, создавая систему скидок для покупателей и производя корректировку цен с учетом жизненного цикла то вара и инфляционных процессов.
Самая простая и распространенная в нашей стране скидка на платеж наличными. Цены на некоторые товары в коммерческой практике по безналичному расчету выше, чем при внесении наличных денег по при чине ускорения оборота денег (ввиду несовершенства банковской системы безналичный расчет замедлен иногда до двух недель.) В мировой практике все расчеты осуществляются по безналичной схеме в кратчайшие сроки, так как торговля идет в кредит, поэтому чем быстрее покупатель рассчитается с продавцом, тем меньше последнему приходится платить банку за использование кредита.
Широко распространена скидка в коммерческой практике за увеличение объема закупок, размера закупаемой партии, чем оговорено в контракте. В отраслях сельского хозяйства, связанными с сезонными колебаниями спроса, используются скидки на закупки товаров до начала очередного сезона.
Размер скидки определяется экономией продавца (производителя) либо за счет уменьшения выплат банку, либо за счет необходимости более редкой переналадки оборудования благодаря укрупнению партий одинаковых изделий, либо за счет сокращения складских помещений и составляет собой часть этой экономии, которую самостоятельно определяет продавец.
При корректировке цен во времени с учетом этапов жизни товаров и инфляции, то здесь используется фундаментальная теория маркетинга – теория жизненного цикла товаров.
Суть теории заключается в том, что товар представляет как бы живой организм с присущими ему стадиями развития. В разных странах выделяют от 4 до 6 фаз жизненного цикла. В рыночном периоде выделяют, как правило, четыре фазы: внедрение (выведение на рынок), стадия роста, зрелости, стадия спада (упадка). Кроме вышеназванных, в Германии, Швеции, Англии выделяют еще несколько стадий: фазу создания и испытания продукта (фазу освоения производства). Основные характеристики жизненного цикла товаров рассмотрены в работе А.С. Пелиха (табл. 4.1).

На каждом этапе вопросы ценообразования должны решаться по-своему.
Так как любая продукция смертна, необходимо постоянно планировать выпуск новых товаров. Процессу внедрения новой продукции предшествует анализ и прогнозирование затрат, объемов производства и реализации цен, что позволяет оптимизировать прибыль от реализации продукции. Оптимизация прибыли может быть осуществлена двумя способами:
1) сопоставлением валовых показателей;
2) сопоставлением предельных показателей.
Метод сопоставления валовых показателей предполагает расчет прибыли при различных значениях объема производства и реализации продукции путем вычитания суммы валовых издержек из валовой выручки:
П = ВР – С/с ,
где П - прибыль от реализации;
ВР - валовая выручка;
С/с - себестоимость продукции
В свою очередь, себестоимость (валовые издержки) состоят из постоянных и переменных затрат. Анализ безубыточности является одним из решающих, т.е. позволяет определить, при каком объеме продаж предприятие будет безубыточным.
Метод сопоставления предельных показателей используется при планировании объемов производства (реализации) продукции на стадиях внедрения и спада жизненного цикла товара. В основу его положено то, что увеличение объема производства рентабельно до тех пор, пока вели чина дополнительного дохода на единицу продукции превышает величину дополнительных издержек на единицу продукции. Показатели пре дельного дохода и предельных издержек рассчитываются по формулам:

обеспечивается положительная величина предельной прибыли (предельный доход – предельная себестоимость продукции).
таблица
сссссссссссссссссссссссссссссссссделать
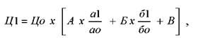
На следующем этапе необходимо скорректировать цены с учетом инфляции, для этого применяется довольно известная формула:

где Ц1, Цо цена товара соответственно в момент фактической его поставки покупателю и в момент заключения договора о поставке;
А,Б, и В доли в цене товара (в момент заключения договора о поставке) соответственно расходам на покупку материалов и сырья, заработной плате и прочим расходам, А+Б+В =1;
ао,а1 - средняя цена покупных материалов и сырья соответственно в моменты заключения договора и фактической поставки товара;
бо,б1 - средняя заработная плата работников соответственно в моменты заключения договора и фактической поставки товара.
И на последнем этапе формирования цен необходимо учесть меры государственного регулирования цен. Это применяется в большинстве стран и очень целесообразно применять у нас, в нашей неустойчивой и разбалансированной экономике. Решая вопросы ценообразования полез но прикинуть, как могут повлиять эти меры: либо положительно, если изготовляемая продукция попадет в число дотационных товаров, либо отрицательно при государственном лимитировании верхних уровней цен.