Применение концепции альтернативных издержек в управлении финансами
Концепция альтернативных издержек на первый взгляд может показаться довольно экзотичной абстракцией, которую невозможно использовать в практической финансовой деятельности. Действительно, зачем заниматься отвлеченными логическими построениями, когда практически каждое предприятие располагает бухгалтерскими данными о полных фактических затратах на приобретение любого актива? Нередки даже споры о том, какой метод определения затрат более объективен: “бухгалтерский” или метод расчета альтернативных издержек. Сама постановка такого вопроса представляется не вполне корректной. Главное различие между этими методами не в “точности” и “объективности”, а в их предназначении. Анализируя финансовую отчетность предприятия, любой исследователь без тени сомнения использует бухгалтерские данные для расчета коэффициента ликвидности или наличия собственных оборотных средств. Точно такой же интерес представляют показатели бухгалтерской отчетности для налоговых инспекторов, ревизоров, аудиторов, осуществляющих проверку деятельности предприятия. Общим для всех эти категорий пользователей отчетной информации является стремление разобраться в уже совершенных операциях.
Перед финансовым менеджером стоит качественно иная задача – он должен спроектировать будущую финансовую операцию, по возможности максимально точно оценив все возможные выгоды и потери, сопряженные именно с данной операцией. При этом он ни в коем случае не отвергает уже имеющиеся “исторические” данные, напротив, анализ финансовой отчетности входит в число важнейших задач финансового менеджмента. Однако, для обоснования финансовых решений, нацеленных на получение будущих результатов, необходим соответствующий инструментарий, обладающий специфическими свойствами. Концепция альтернативных издержек формирует теоретическую базу такого инструментария, поэтому часто она не представлена в явной форме и многие практики, выполняя финансовые расчеты, используют эту концепцию, даже не подозревая о ее существовании.
Можно выделить следующие формы практического проявления данной концепции:
1. При обосновании финансовых решений следует ориентироваться прежде всего на денежные потоки, порождаемые этими решениями. Здесь уместно снова вспомнить выражение Б. Райана, скромно определенное им как “Второй закон Райана”: “Затраты и доходы возникают только в те моменты, когда потоки денежной наличности пересекают границы предприятия”. Не ставя под сомнение ценность и важность калькуляции полной себестоимости, финансовый менеджмент оперирует несколько иными понятиями, центральное среди которых – денежный поток.
2. Учитываться должны те и только те денежные потоки, которые имеют непосредственное отношение к данному решению. Поступления и расходования средств, независимо от времени их возникновения, не связанные с принимаемым решением, не должны браться в расчет. Иными словами, финансовый менеджмент работает с приростными денежными потоками, а учитываемые в нем альтернативные издержки являются предельными. Если в результате решения о выпуске новой продукции понадобится принять в штат предприятия дополнительных охранников, то предельные расходы на содержание новых работников охраны должны быть включены в состав издержек по осваиваемому изделию, затраты же на содержание охраны в прежних размерах не имеют отношения к данному решению и в состав альтернативных издержек включаться не должны.
3. Принимаемое решение не может оказать влияния на уже понесенные расходы или полученные ранее доходы. Поэтому, обосновывая это решение, финансовый менеджер должен принимать во внимание только будущие денежные потоки. Все прошлые выплаты и поступления, в том числе и затраты на приобретение оборудования, имеют исторический характер, их уже невозможно избежать или предотвратить. Поэтому в финансовых расчетах не участвует такой элемент затрат как амортизация основных фондов.
В этих трех правилах нет ничего нового и непонятного практически для любого финансиста. Даже не подозревающий о существовании термина “альтернативные издержки” финансовый менеджер руководствуется данными правилами в своей повседневной работе, например, делая экономическое обоснование инвестиционного проекта. Проекты, обеспечивающие денежные притоки, приведенная стоимость которых превышает величину связанных с ними альтернативных издержек, увеличивают стоимость предприятия, то есть делают владельцев предприятия богаче. Увеличение капитала собственников является основной целью любого предприятия и его менеджеров. Таким образом, абстрактное понятие “альтернативные издержки” дает в руки менеджеру мощный, достаточно простой, понятный и очень практичный инструмент контроля эффективности своей работы: реализуя решения и проекты, денежные притоки по которым превышают денежные оттоки, он способствует росту стоимости предприятия, то есть надлежащим образом выполняет свои функции. Эту аксиому финансового менеджмента можно сформулировать несколько иначе: предприятие должно вкладывать средства только в такие проекты, чистая приведенная стоимость (NPV) которых имеет положительную величину. Задача же финансового менеджера состоит в том, чтобы обеспечить отбор именно таких проектов и решений.
В ходе обоснования текущих решений о формировании производственной программы предприятия, в нее должны включаться все изделия, дающие положительный вклад на покрытие постоянных расходов (маржинальный доход), а не только те, полная себестоимость которых ниже продажной цены изделия. Упрощенная схема обоснования подобных решений представлена на рис. 3.2.1. Как следует из схемы, ни одно из трех планируемых к выпуску изделий не в состоянии покрыть всех постоянных расходов предприятия (900 тыс. рублей). Однако суммарный маржинальный доход по всем трем изделиям составляет 1 млн. 500 тыс. рублей, т.е. предприятие не только покрывает свои фиксированные издержки, но и получает прибыль в сумме 600 тыс. рублей (1500 – 900).
Применение концепции альтернативных издержек ставит серьезные задачи перед информационной подсистемой финансового менеджмента. Очевидно, что данных только традиционного бухгалтерского учета в этом случае недостаточно. Возникает потребность в создании системы учета, ориентированной на более полное и точное выявление альтернативных издержек – системы управленческого учета. Краеугольным камнем такой системы является деление всех расходов предприятия на условно-постоянную и переменную части по отношению к объему выпуска (реализации) продукции. Планирование и учет затрат в таком разрезе позволяет более тесно увязывать их с последствиями конкретных управленческих решений, исключать возможность “наложения” на финансовые результаты данного решения влияния не связанных с ним факторов (например, общезаводских накладных расходов). Другой отличительной чертой подобных систем является широкий охват издержек предприятия нормированием. Это позволяет более точно прогнозировать будущие денежные притоки и оттоки. Третья особенность систем управленческого учета – персонификация информации, увязка объектов учета со сферами ответственности конкретных руководителей, что позволяет еще более четко отграничить издержки, зависящие от конкретных решений, от всех остальных, не имеющих к нему отношения затрат. Перечисленные особенности нашли отражения в таких учетных системах как нормативный метод учета затрат на производство (система стандарт-кост), учет по переменным издержкам (директ-костинг), учет по центрам затрат, центрам прибыли и центрам ответственности.

Рисунок 3.2.1. Схема формирования производственной программы
На российских предприятиях все эти системы приживаются довольно медленно, несмотря на то, что внедрение нормативного метода учета затрат, например, продолжается уже свыше 60 лет. Представляется, что одной из причин такого положения является недооценка руководством предприятий управленческих и финансовых функций данных методов. По-прежнему считается, что они являются всего лишь разновидностями общей бухгалтерии и решение возникающих вопросов отдается на откуп учетному персоналу предприятий. Но перед счетными работниками стоит совершенно иная задача – своевременное и достоверное определение полной себестоимости по историческим затратам, для решения которой вполне достаточно традиционных методов калькулирования. Для обычной бухгалтерии деление расходов на переменную и постоянную части имеет значительно меньшую важность, чем деление их на прямые и косвенные издержки. Решая принципиально иные в сравнении с финансовым менеджментом задачи, бухгалтер по-иному воспринимает и поставленную перед ним задачу. Для него новый метод учета – это прежде всего другой способ распределения косвенных издержек между изделиями (или отказ от такого распределения в случае метода директ-костинг). А так как внедрение любого нового метода сопряжено с дополнительными затратами, то не видя существенной выгоды от такой замены, счетный работник подсознательно противится изменениям, которые ничего не могут ему принести, кроме дополнительных неудобств и лишней работы.
Таким образом, являясь одним из основных потребителей информации общей (финансовой) бухгалтерии, финансовый менеджмент также заинтересован в создании системы управленческого учета, ориентированной на контроль альтернативных затрат. По ряду свойств эта система должна существенно отличаться от традиционной бухгалтерии, поэтому при ее создании должны учитываться требования и потребности прежде всего финансового менеджмента. Вполне возможно, что даже организационный статус соответствующего подразделения может отличаться от статуса общей бухгалтерии и на его оперативную деятельность, большее влияние будет оказывать финансовый директор, а не главный бухгалтер предприятия.
На примере альтернативных издержек становится очевидным влияние которое могут (и должны) оказывать на первый взгляд самые отвлеченные положения экономической теории на практику работы конкретных предприятий. Пренебрежительное отношение некоторых финансистов-практиков к теоретическим основам финансового менеджмента характеризует не столько богатство их опыта, сколько недостаточную профессиональную компетентность. В конце концов предприятие понесет вполне ощутимые, реальные финансовые потери, обусловленные действием абстрактных категорий, о существовании которых финансовые руководители не догадывались или просто не хотели знать. Примером такой “отвлеченной” категории является операционный (производственный) леверидж, характеризующий один из аспектов предпринимательского риска. Предпринимательский (деловой) риск состоит в том, что предприятие может не получить запланированную величину операционной прибыли (до уплаты процентов и налога на прибыль). Очевидно, что такому результату может способствовать множество различных факторов: снижение спроса на продукцию, усиление конкуренции, рост цен на сырье и др. Наряду с ними увеличению операционного риска способствует высокая доля постоянных расходов предприятия в общей структуре затрат. Чем выше эти доля, тем сильнее вероятность того, что даже незначительное снижение объема продаж обернется для предприятия убытками. С другой стороны, в определенных условиях даже небольшое увеличение объема продаж приведет к резкому росту прибыли. Операционный леверидж (по-русски – эффект операционного рычага) показывает степень изменения операционной прибыли в ответ на изменение объема продаж. Для лучшего понимания этого парадоксального на первый взгляд эффекта рассмотрим схемы, изображенные на рис. 3.2.2.

Рисунок 3.2.2. Эффект операционного рычага
На этом рисунке отображены графики безубыточности для двух предприятий, выпускающих аналогичные изделия, реализуемые по одной и той же цене. Разница заключается в затратах на их производство: у одного предприятия более высокие переменные, но более низкие постоянные издержки, у другого – наоборот. Неудивительно, что у предприятия с более высокими фиксированными расходами график безубыточности сдвинут вверх. Критический объем продаж для первого предприятия составляет ≈17143 изделия (1200 / (100 – 30), а для второго ≈ 16667 изделий (500 / (100 – 70). После прохождения критической точки, предприятия полностью покрывают свои постоянные издержки и начинают получать операционную прибыль. Сравнивая между собой углы, под которыми пересекаются линии полной себестоимости и выручки (α), можно заметить, что для предприятия с низкими фиксированными расходами этот угол более острый. То есть, расширение зоны прибыли происходит у него значительно медленнее, чем у предприятия с более высокими постоянными затратами. Получается, что в данной ситуации высокий уровень фиксированных издержек является благом: он как рычаг усиливает влияние даже небольшого прироста объема продаж.
Однако, точно такое же соотношение существует и между углами (β), характеризующими скорость расширения области убытков при падении объема продаж ниже критической точки. То есть, с такой же силой операционный рычаг будет ускорять и увеличение убытков, которое будет значительно интенсивнее у предприятия с более высокими постоянными расходами. Какие бы причины ни обусловили изменение объемов продаж, первое предприятие является более рискованным, так как изменение операционной прибыли будет у него непропорционально большим. Углы α и β отражают степень интенсивности изменения операционной прибыли в ответ на изменение объема продаж. В алгебраической форме это можно выразить как отношение темпа прироста прибыли к темпу прироста выручки от реализации:
, (1)
где нижние индексы 1 и 0 означают соответственно отчетный (плановый) и базисный периоды.
Введя следующие обозначения:
q – объем продаж в натуральном выражении, шт.; Δq = q1 – q0; p – цена за 1 изделие; Q = q * p – выручка от реализации, тыс. руб.; v – переменные расходы на 1 изделие; V = v * q – переменные расходы на весь объем продаж; m = p - v – маржинальный доход на 1 изделие; M – маржинальный доход на весь объем продаж; F – фиксированные расходы; ΔПриб = Приб1 – Приб0 = Δq * (p – v),()
получим более удобную для вычислений формулу:
(2)
Иными словами, для количественного измерения эффекта операционного рычага достаточно разделить маржинальный доход на операционную прибыль за один и тот же период. В рассмотренном выше примере при объеме выпуска 18 тыс. изделий значение операционного левериджа составит:
для первого предприятия – 21 ({[100 – 30) * 18] / [100 – 30) * 18] - 1200});
для второго предприятия – 13,5 ({[100 – 70) * 18] / [100 – 70) * 18] - 500}).То есть деловой риск первого предприятия в полтора раза выше, чем у второго. С изменением объема продаж на 1%, изменение операционной прибыли у первого предприятия составит 21%, а у второго – только 13,5%. В обоих случаях значения операционного левериджа значительны, однако у первого предприятия оно заметно выше. По мере удаления фактического объема продаж от кртитической точки будут уменьшаться как абсолютные значения операционного леве риджа, так и разница в их уровнях. Так, при q = 25 тыс. изделий, операционный леверидж для первого предприятия составит 3,182, а для второго – 3. Это объясняется снижением доли постоянных расходов в общей выручке от реализации по мере ее роста. Следовательно, наиболее существенно влияние операционного рычага на прибыль предприятия в окрестностях критической точки. Это заключение подтверждает график на рис. 3.2.3.
.

Рисунок 3.2.3. График зависимости изменения прибыли от изменения объема продаж
На оси абсцисс этого графика показан накопленный прирост (уменьшение) продаж от критической точки (принята за 0). По оси ординат отложены соответствующие значения прироста (уменьшения) прибыли в %. Наращение продаж как вправо так и влево от критической точки производилось с одним и тем же темпом – 10%. Как видно из графика, максимальное изменение прибыли (как вверх, так и вниз) было получено при отклонении объема продаж от критической точки на первые 10%: рост прибыли составил почти 100%, а снижение – около 90%. Затем интенсивность реагирования прибыли резко снижалась. Таким образом, предприятия, объемы продаж которых значительно превышают критическую точку, менее восприимчивы к влиянию операционного рычага. Наибольшую опасность оно представляет для тех предприятий, которые еще не смогли “отвоевать” достаточную долю рынка. Как правило это небольшие или недавно созданные предприятия. В то же время любое предприятие, независимо от масштаба его деятельности, может столкнуться с кризисом продаж. В этом случае даже крупным предприятиям следует помнить о возникающей дополнительной опасности потерь вследствие операционного левериджа
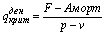
Принимая во внимание, что в составе постоянных затрат значительный удельный вес занимает амортизация основных фондов, начисление которой не влечет за собой денежных оттоков, при расчете критической точки объема продаж и эффекта операционного рычага сумма фиксированных издержек может быть уменьшена на величину начисленного износа. В этом случае говорят о денежной критической точке объема продаж, которая рассчитывается по формуле:
(3)
Соответствующие изменения вносятся в формулу определения влияния операционного рычага (2). Данное преобразование позволяет уточнить причину возникновения высокого удельного веса постоянных затрат. Если в их составе преобладают амортизационные отчисления, то операционный леверидж обусловлен высокой фондоемкостью производства, наличием дорогостоящего оборудования в составе основных фондов. Это характерно для высокотехнологичных отраслей: машиностроение, электроника, авиатранспорт. Однако, на многих российских предприятиях причина возникновения высокого левериджа иная – непропорционально большие затраты по содержанию аппарата управления. Распределение общей суммы этих затрат между отдельными изделиями в процессе калькулирования полной себестоимости продукции в определенной степени маскирует их экономическую природу. Только использование концепции альтернативных издержек позволяет принимать обоснованное финансовое решение в ходе планирования расходов предприятия.