Геометрический смысл производной
Понятие производной
Производная и дифференциал
Пусть функция у = f(x) определена на промежутке X. Возьмем точку
х Î Х. Дадим значению х приращение Dх ¹ 0, тогда функция получит приращение D у = f(x + Dх) - f(x).
Производной функции у = f(x) называется предел отношения приращения функции к приращению аргумента при стремлении последнего к нулю (если этот предел существует):
.
Производную также обозначают y' и dy/dx.
Чтобы понять геометрический смысл производной, рассмотрим задачу о касательной.
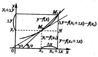
Рассмотрим на плоскости график непрерывной функции у = f(x) (см. рисунок 3.1).


Построим касательную к этой кривой в точке М0(х0, у0). Прежде всего, необходимо определить понятие касательной. Для этого дадим аргументу х0 приращение Dх и перейдем на кривой у = f(x) от точки
М0(х0, f(x0)) к точке М1(х0 + Dх, f(х0 + Dх)). Проведем секущую М0М1. Под касательной к кривой у = f(x) понимают предельное положение секущей М0М1 при приближении точки М1 к точке М0, т.е. при Dх®0.
Угловой коэффициент секущей М0М1 (тангенс угла j наклона этой прямой к оси абсцисс) может быть найден из DМ0М1N:
. Тогда угловой коэффициент касательной (тангенс угла a) равен
.
Таким образом, производная функции представляет собой тангенс угла наклона касательной к графику функции к оси абсцисс (угловой коэффициент касательной).