Задания
Общая постановка задачи:
Разработать алгоритм и программу для ввода значений аргументов и вычисления значений функций. Протестировать программу для нескольких значений аргументов.
Программа должна быть представлена в нескольких вариантах: с использованием готовой операции или процедуры возведения в степень и без её использования.
Варианты:
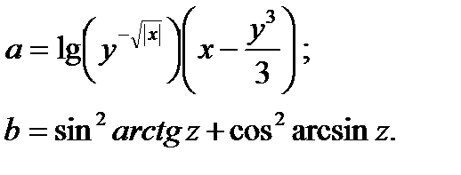
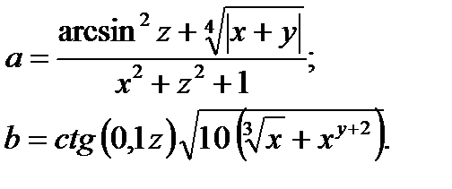
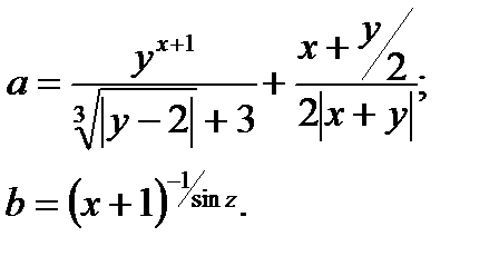
| 1. | Заданы аргументы x, y, z.
Вычислить значения функций a, b.
|
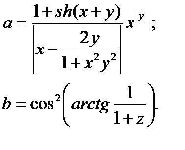
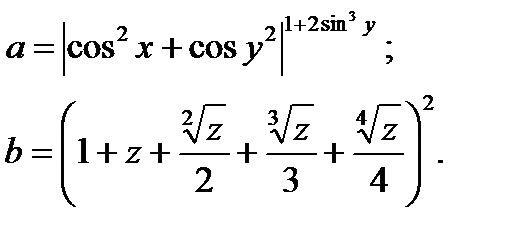
| 2. | Заданы аргументы x, y, z.
Вычислить значения функций a, b.
|
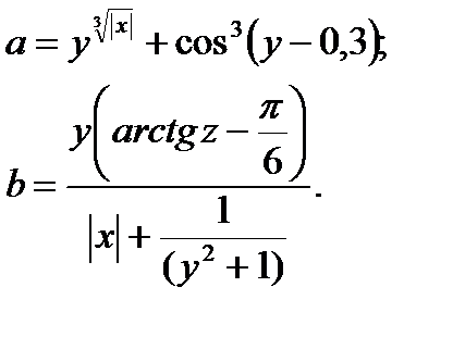
| 3. | Заданы аргументы x, y, z.
Вычислить значения функций a, b.
|
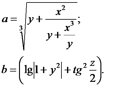
| 4. | Заданы аргументы x, y, z.
Вычислить значения функций a, b.
|
| 5. | Заданы аргументы x, y, z.
Вычислить значения функций a, b.
|
| 6. | Заданы аргументы x, y, z.
Вычислить значения функций a, b.
|
| 7. | Заданы аргументы x, y, z.
Вычислить значения функций a, b.
|
| 8. | Заданы аргументы x, y, z.
Вычислить значения функций a, b.
|
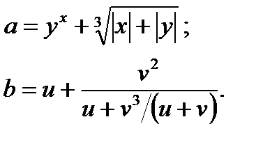
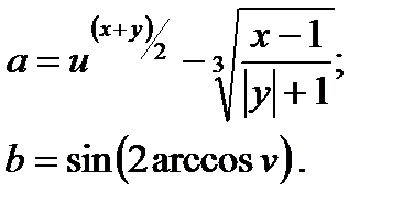
| 9. | Заданы аргументы x, y, u, v.
Вычислить значения функций a, b.
|
| 10. | Заданы аргументы x, y, u, v.
Вычислить значения функций a, b.
|
| 11. | Заданы аргументы x, y, u.
Вычислить значения функций a, b.
|
| 12. | Заданы аргументы x, y, u, v.
Вычислить значения функций a, b.
|
| 13. | Заданы аргументы x, y, u, v.
Вычислить значения функций a, b.
|
| 14. | Заданы аргументы x, y, u, v.
Вычислить значения функций a, b.
|
| 15. | Заданы аргументы x, y, z.
Вычислить значения функций a, b.
|
| 16. | Заданы аргументы x, y, z.
Вычислить значения функций a, b.
|
| 17. | Заданы аргументы x, y, z.
Вычислить значения функций a, b.
|
| 18. | Заданы аргументы x, y, z.
Вычислить значения функций a, b.
|
| 19. | Заданы аргументы x, y, z.
Вычислить значения функций a, b.
|
| 20. | Заданы аргументы x, y, z.
Вычислить значения функций a, b.
|
| 21. | Заданы аргументы x, y, z.
Вычислить значения функций a, b.
|
| 22. | Заданы аргументы x, y, z.
Вычислить значения функций a, b.
|
| 23. | Заданы аргументы x, y, z.
Вычислить значения функций a, b.
|
| 24. | Заданы аргументы x, y, z.
Вычислить значения функций a, b.
|
| 25. | Заданы аргументы x, y, z.
Вычислить значения функций a, b.
|
| 26. | Заданы аргументы x, y, z.
Вычислить значения функций a, b.
|
| 27. | Заданы аргументы x, y, z.
Вычислить значения функций a, b.
|
| 28. | Заданы аргументы x, y, z.
Вычислить значения функций a, b.
|
| 29. | Заданы аргументы x, y, z.
Вычислить значения функций a, b.
|
| 30. | Заданы аргументы x, y, z.
Вычислить значения функций a, b.
|