Для указанной схемы взаимосвязей между переменными
Классификация систем уравнений.
1. Система уравнений считается неидентифицируемой, если …
ü -хотя бы одно уравнение системы является неидентифицируемым+
2. Уравнение системы считается идентифицируемым в соответствии с достаточным условием идентифицируемости, если …
ü число предопределенных переменных, отсутствующих в данном уравнении, но присутствующих в системе, равно числу эндогенных переменных в данном уравнении без одной
Для указанной схемы взаимосвязей между переменными

справедливы утверждения:
ü + может быть описана с помощью системы рекурсивных уравнений
ü + включает 3 уравнения
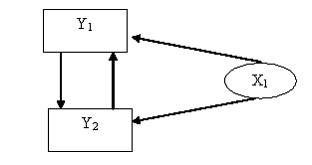
Для указанной схемы взаимосвязей между переменными

справедливы утверждения:
ü + включает 2 уравнения
ü + может быть описана с помощью системы одновременных уравнений
5. Для оценки параметров структурной модели системы необходимо …
ü +чтобы все уравнения системы были идентифицируемы или сверхидентифицируемы