Опыт Эвери по трансформации бактерий
Уровни структурной организации ДНК
ДНК РНК
Главные пуриновые и пиримидиновые основания в ДНК и РНК
пурины аденин аденин
гуанин гуанин
пиримидины цитозин цитозин
тимин урацил
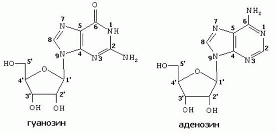
Нуклеозиды- соединения азотистого основания и углеводов (рибозы и дезоксирибозы). Нуклеозиды образуются за счет N-гликозидной связи между ДЕВЯТЫМ атомом азота у ПУРИНОВЫХ (первым атомом азота- у ПИРИМИДИНОВЫХ) оснований и гидроксилом ПЕРВОГО атома углерода рибозы или дезоксирибозы (таблица 1). Во избежание путаницы, нумерация атомов азотистых оснований осуществляется арабскими цифрами, а у атомов углерода рибоз - арабскими цифрами со “штрихом”.
Таблица 1Нуклеозиды
| Пурино-вые |
|
| Пирими-ди-новые |
|
Нуклеотиды отличаются от нуклеозидов наличием остатков фосфорной кислоты (от одного до трех), связанных простой эфирной связью с гидроксилом 5’ атома углерода рибоз. Остатки фосфорных кислот между собой также связаны простой эфирной связью. В зависимости от числа остатков фосфорной кислоты в нуклеотидах различают МОНО-, ДИ- и ТРИФОСФОНУКЛЕОТИДЫ. Их номенклатура приведена ниже:
| азотистые основания | нуклеозиды | Нуклеотиды | |
| полное название | Сокращенное | ||
| аденин | аденозин | Аденозинмонофосфат | АМФ |
| гуанин | гуанозин | Гуанозинмонофосфат | ГМФ |
| цитозин | цитидин | Цитидинмонофосфат | ЦМФ |
| урацил | уридин | Уридинмонофосфат | УМФ |
| тимин | тимидин | тимидинмонофосфат | ТМФ |
ДНК и РНК обладают первичной, вторичной, третичной структурами.
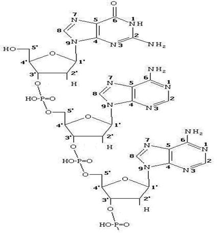
Первичная структура ДНК– последовательность нуклеотидов в молекуле ДНК. Нуклеотиды связываются между собой за счет остатков фосфорной кислоты. Нуклеотидные единицы соединяются между собой фосфодиэфирными мостиками.Фосфодиэфирные мостики соединяют 3¢ - гидроксильную группу одного нуклеотида с 5¢ - гидроксильной группой другого.
Поскольку основой нуклеиновых кислот является САХАРОФОСФАТНЫЙ ОСТОВ, в сокращенных написаниях участков цепи используют лишь ОДНОБУКВЕННЫЕ СИМВОЛЫ соответствующего азотистого основания. Полное и схематичное обозначение участка полинуклеотидной цепи приведены ниже:
5’-НО-G-A-A-T-C-T-A-C-A-…3'
Вследствие наличия сильно-диссоциирующих фосфатных групп, нуклеиновые кислоты (НК) легко образуют связи с основными белками с образованием НУКЛЕОПРОТЕИНОВ. Протеины отделяются от НК детергентами. После расщепления белков протеиназами НК осаждаются спиртом.
В ДНК содержатся минорные основания обычно – это метилированные формы главных оснований, например, 5-метилцитозин и 6-метиладенин. Метилирование оснований происходит уже после репликации ДНК. Эти метилированные основания защищают «свои» ДНК от расщепления ферментами – ДНКазами. В ряде вирусных ДНК некоторые основания могут быть гидроксиметилированы или глюкозилированы. Такие минорные основания в ДНК служат специфическими сигналами, которые играют важную роль в реализации генетической информации или в обеспечении ее сохранности. Минорные основания были обнаружены также в РНК, в основном в т-РНК.
Итак, ДНК была открыта в клеточном ядре в 1868 году, но ее генетическая функция оставалась невыясненной до 1943.

В 1943 г. Эвери и его сотрудники из Рокфеллеровского института обнаружили, что непатогенный (неболезнетворный) штамм бактерии пневмококка может быть трансформирован в патогенной простым добавлением ДНК, выделенной из патогенных пневмококков (свойство патогенности наследуется).
Вывод: ДНК может содержать генетическую информацию.
Было установлено, что:
1. Содержание ДНК в любой клетке или организме строго постоянно;
2. Содержание ДНК в клетке увеличивается с возрастанием сложности клетки, следовательно, с возрастанием генетической информации в клетке. Чем сложнее организм, тем больше ДНК в его клетках;
3. Гаплоидные половые клетки высших организмов (содержащие одинарный набор хромосом) содержат точно половину количества ДНК, которое обнаружено в диплоидных клетках того же организма;
4. ДНК-содержащие вирусы бактерий (бактериофаги) и вирусы животных, имеющие лишь несколько генов, содержат очень мало ДНК.
Это указывает на генетическую функцию ДНК: ДНК хранит генетическую информацию.
В настоящее время установлено, что функция ДНК состоит в том, что она хранит генетическую информацию, необходимую для кодирования структуры всех белков и всех РНК каждого вида организма, регулирует во времени и пространстве биосинтез компонентов клеток и тканей, определяет деятельность организма в течение его жизненного цикла и обеспечивает индивидуальность данного организма.
Самым важным ключом к разгадке структуры ДНК стало открытие, сделанное в конце 40-х годов Чаргаффом и его коллегами из Колумбийского университета. Они обнаружили, что 4 основания встречаются в ДНК разных организмов в различных соотношениях и что между основаниями существует определенная количественная связь. Такого рода результаты, полученные для препаратов ДНК, выделенных из огромного множества различных видов, привели Чаргаффа и более поздних исследователей к следующим выводам.