Тема. Метод подбора частного решения неоднородного ЛДУ (2.1) с постоянными коэффициентами и правой частью специального вида.
Лекция 3.
Повторение. Найдём общее решение однородного ЛДУ с постоянными коэффициентами
.
Решаем первый пример
Выписываем для данного однородного ЛДУ характеристическое уравнение

Отсюда (по теореме 2.5 ) определяем
ФСР: 
Общее решение :
.
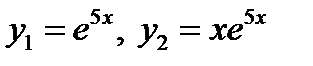
Решаем второй пример
Выписываем для данного однородного ЛДУ характеристическое уравнение

Отсюда( по теореме 2.5 )определяем
ФСР: 
Общее решение :
.
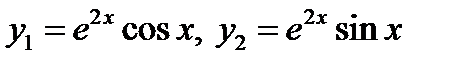
Решаем третий пример
. Выписываем для данного однородного ЛДУ характеристическое уравнение

Отсюда (по теореме 2.5 ) определяем
ФСР:
.
Общее решение :
.
На прошлой лекции было доказано, что общее решение неоднородного ЛДУ
(2.1)
даётся формулой
(2.4)
где
образуют ФСР, а
некоторое решение неоднородного ЛДУ (2.1)
Основной трудностью при вычислении общего решения является нахождение
. Рассмотрим правило нахождения частного решения неоднородного ЛДУ (2.1) с постоянными коэффициентами для функций
специального вида.