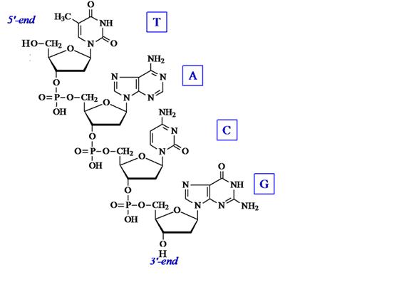
Строение полинуклеотидной цепи. Первичная структура нуклеиновых кислот
Свойства нуклеотидов
Номенклатура нуклеотидов
Для нуклеотидов используются два вида названий. Одно включает наименование нуклеозида с указанием положения в нем остатка фосфорной кислоты, например аденозин-5¢-фосфат; другое строится с добавлением суффикса –иловая кислота к названию нуклеозида: 5¢-адениловая кислота. Однобуквенный код применяется с добавлением «р» перед буквой для 5¢- нуклеотидов (рА) и после буквы для 3¢ -нуклеотидов (Ар).
Номенклатура5¢- нуклеотидов
| Аденозин -5¢-фосфат или Аденозин-5¢-монофосфат | 5¢-Адениловая кислота |
| Гуанозин -5¢-фосфат | 5¢-Гуаниловая кислота |
| Цитин -5¢-фосфат | 5¢-Цитидиловая кислота |
| Уридин -5¢-фосфат | 5¢-Уридиловая кислота |
| Дезоксиаденозин -5¢-фосфат | 5¢-Дезоксиадениловая кислота |
| Дезоксигуанозин -5¢-фосфат | 5¢-Дезоксигуаниловая кислота |
| Дезоксицитидин -5¢-фосфат | 5¢-Дезоксицитидиловая кислота |
| Тимидин -5¢-фосфат | 5¢-Тимидиловая кислота |
Нуклеотиды гидролизуются как в кислой, так и в щелочной среде но с образованием разных продуктов. В щелочной среде разрушаются сложноэфирные связи, образуются нуклеозиды и анион фосфорной кислоты. В кислой среде разрушаются и сложноэфирные и гликозидные связи, образуются: фосфорная кислота, пентоза (рибоза или дезоксирибоза) и нуклеиновые основания. Поскольку нуклеотиды – мономеры НК, ДНК и РНК при гидролизе в кислой или щелочной среде образуют те же продукты, что и нуклеотиды.
В полинуклеотидных цепях нуклеиновые звенья связываются через фосфатную группу. Фосфатная группа образует две сложноэфирные связи с третьим углеродом вышестоящей рибозы (дезоксирибозы) и с пятым углеродом нижестоящей.

Тот конец полинуклеотидной цепочки, где остается свободный первичноспиртовой гидроксил у 5¢ атом углерода пентозы, называется 5¢-конец. Там, где находится свободный гидроксил на 3¢-атоме углерода пентозы называется 3¢-конец.