Отдельные представители алкалоидов
Характеристика и биологическая роль алкалоидов
К алкалоидам принадлежат вещества растительного происхождения, содержащиеся во многих растениях. Общим для подавляющего большинства алкалоидов свойством является наличие в их молекулах азота, содержащегося в составе циклов. Таким образом, алкалоиды принадлежат к гетероциклическим соединениям. Алкалоиды являются органическими основаниями и дают соли с кислотами. В большинстве случаев алкалоиды содержатся в растениях в виде солей яблочной, винной, лимонной и других кислот. В виде солей они растворимы в воде. Свободные алкалоиды могут быть получены путем обработки солей щелочами. В свободном виде алкалоиды, как правило, нерастворимы в воде, но растворяются в органических растворителях.
Общим для всех алкалоидов свойством является также то, что они представляют собой физиологически чрезвычайно активные вещества, оказывающие сильное действие на животный организм. Многие из них являются ядами.
Большинство алкалоидов действует на нервную систему. В малых дозах они оказывают возбуждающее действие, а в больших дозах ‑ угнетающее. Например, кокаин, широко употребляемый в медицине в качестве местного обезболивающего средства, действует на чувствительные окончания периферической нервной системы. Кураре ‑ алкалоид, содержащийся в соке некоторых южноамериканских растений, действует на двигательные окончания нервной системы и поэтому вызывает паралич; именно поэтому он употреблялся индейцами для смачивания стрел. Содержащийся в млечном соке мака морфин действует на центральную нервную систему, вызывая сон. Он употребляется в медицине в качестве общего обезболивающего средства. Содержащийся в табаке никотин также действует на центральную и периферическую нервную систему. В ягодах белладонны и дурмана содержится атропин, который оказывает сильное действие на моторные нервы глаза, расширяя зрачок.
По своему строению алкалоиды весьма разнообразны. В зависимости от химической природы азотистого гетероцикла, входящего в их состав, они разделяются на следующие основные группы:
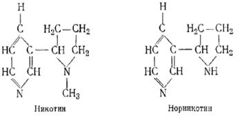
1) производные пиридина (никотин, норникотин,анабазин);

2) производные пирролидина

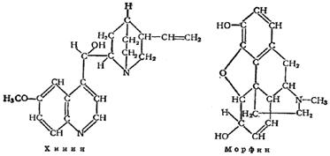
3) производные хинолина и изохинолина (хинин, морфин)

4) производные индола (алкалоиды спорыньи)

5) производные пурина ‑ кофеин и теобромин.
В некоторых алкалоидах мы имеем дело с комбинацией в молекуле сразу двух из названных выше азотистых гетероциклов. Так, например, в молекуле никотина соединены между собой пиридин и пирролидин. Обычно никотин включают в группу пиридиновых алкалоидов.
Табак содержит целый ряд алкалоидов, из которых главными являются никотин, норникотин и анабазин:

Никотин при окислении образует никотиновую кислоту, которая, как указывалось ранее, представляет собой противопеллагрический витамин и в виде амида является составной частью некоторых окислительно-восстановительных ферментов. Никотин в свободном виде ‑ бесцветная, маслянистая жидкость. Он является сильно ядовитым веществом, действующим как на центральную, так и на периферическую нервную систему. При отравлении никотином смерть наступает от паралича дыхания. Никотин в больших количествах получают из отходов табачной промышленности и используют для борьбы с насекомыми, вредящими сельскому хозяйству. Норникотин, является алкалоидом, получаемым при отнятии метильной группы от никотина.
Анабазин применяется для борьбы с насекомыми, вредящими сельскому хозяйству.

Важнейшим представителем группы алкалоидов, принадлежащих к производным хинолина, является хинин, содержащийся в коре хинного дерева.
Хинин применяется в медицине в качестве весьма эффективного лекарства при лечении малярии.
Морфин является представителем группы изохинолиновых алкалоидов. Он содержится в опии ‑ сгущенном млечном соке опийного мака. Опийный мак культивируется в среднеазиатских республиках. Опий содержит большое количество различных алкалоидов и широко применяется в медицине. Он является успокаивающим средством и в больших дозах ‑ наркотиком. Морфин широко применяется в качестве болеутоляющего средства.

К группе алкалоидов, являющихся производными индола, относится ряд алкалоидов, содержащихся в рожках спорыньи. Спорынья очень ядовита, и попадание рожков спорыньи в размолотом виде в муку может привести к массовым отравлениям. Поэтому очистка зараженного зерна от рожков спорыньи является важнейшей операцией при переработке такого зерна. Рожки спорыньи применяются в медицине. В основе строения алкалоидов спорыньи лежит лизергиновая кислота или ее изомер ‑ изолизергиновая кислота, представляющие собой производные индола, синтезируемые в мицелии спорыньи из триптофана и мевалоновой кислоты. Соединяясь с одной или несколькими аминокислотами, пировиноградной кислотой или аминоспиртами, лизергиновая кислота образует тот или иной алкалоид спорыньи. Из рожков спорыньи выделено 12 алкалоидов.

Эти алкалоиды, согласно Л. Штоллю, имеют следующие эмпирические формулы:
эрготамин и эрготаминин С33Н35О5N5,
эргозин и эргозинин С30Н37О5N5,
эргокристин и эргокристинин С35Н39О5N5,
эргокриптин и эргокриптинин С32Н41О5N5,
эргокорнин и эргокорнинин С31Н39О5N5,
эргобазин и эргобазинин С19Н23О2N3.
Таким образом, каждая эмпирическая формула соответствует двум изомерным алкалоидам.
Алкалоиды спорыньи различаются по образующимся из них при гидролизе продуктам. Так, например, алкалоиды, принадлежащие к первым пяти группам, состоят из лизергиновой или изолизергиновой кислоты, соединенной с пептидом и пировиноградной или диметилпировиноградной кислотой. В алкалоидах шестой группы, т.е. в эргобазине и эргобазинине, лизергиновая или изолизергиновая кислота соединена с каким-либо аминоспиртом.
В свою очередь алкалоиды первой и второй групп и третьей, четвертой и пятой групп различаются между собой по тем аминокислотам, которые образуются из них при гидролизе. Так, например, при гидролизе алкалоидов третьей группы образуются лизергиновая кислота, диметилпировиноградная кислота,

фенилаланин и пролин; при гидролизе алкалоидов четвертой группы получаются: лизергиновая кислота, диметилпировиноградная кислота, лейцин и пролин; наконец, при гидролизе алкалоидов, принадлежащих к пятой группе, образуются лизергиновая кислота, диметилпировиноградная кислота, валин и пролин.
Алкалоиды спорыньи являются хорошим примером того, что обычно в данном растении содержится целый комплекс алкалоидов, родственных по своей химической природе. Такую же картину мы наблюдаем у табака, опийного мака, хинного дерева.
Вместе с тем алкалоиды спорыньи интересны в том отношении, что, имея в своем составе полипептиды, они, более чем какие-либо другие алкалоиды, указывают на прямую связь между обменом белков и аминокислот, с одной стороны, и образованием алкалоидов в растении, с другой. На эту связь указывают также опыты, в которых соответствующие аминокислоты, меченные С14, вводились в растение путем засасывания их водных растворов через черешки листьев или путем вакуум-инфильтрации. Так, при подкормке растений махорки орнитином, меченным радиоактивным углеродом С14, значительная часть радиоактивности обнаруживается в пирролидиновом кольце никотина. При введении в молодые растения люпина С14-лизина радиоактивный углерод особенно интенсивно включается в алкалоид лупанин. Опыты с меченым лизином показали, что в результате его циклизации образуется конин ‑ главный алкалоид болиголова (Сопium тасиlatum L.). С помощью изотопного метода показано, что один из ядовитых алкалоидов – гиосциамин ‑ синтезируется в растении путем конденсации орнитина, фенилаланина и двух молекул уксусной кислоты в соответствии со схемой:

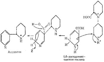
Путем применения изотопной методики удалось показать, что предшественниками морфина являются тирозин и метионин. Таким же путем показано, что пиперидиновое кольцо анабазина образуется из лизина. По-видимому, этот процесс идет следующим образом:

Далее Δ¢-пиперидеин-2-карбоновая кислота, подвергаясь декарбоксилированию, конденсируется с 1,6-дигидроникотиновой кислотой, образуя в конечном счете анабазин:

Никотиновая кислота является предшественником пиридинового компонента молекулы анабазина (а также никотина). Что же касается биогенеза пиридинового кольца самой никотиновой кислоты, то у высших растений и некоторых бактерий оно образуется путем конденсации глицеральдегид-3-фосфата и аспарагиновой кислоты.