Структурные формулы кетогексоз
Мутаратация
Значение a- и b-изомеров.
A- и b-изомеры моносахаридов.
При циклизации в молекуле D-глюкозы асимметрических центров на один больше по сравнению с тем числом, которое она имеет в линейной форме.
Образовавшийся из альдегидной или кетонной группы гидроксил обладает повышенной реакционной способностью и называется гликозидным гидроксилом.
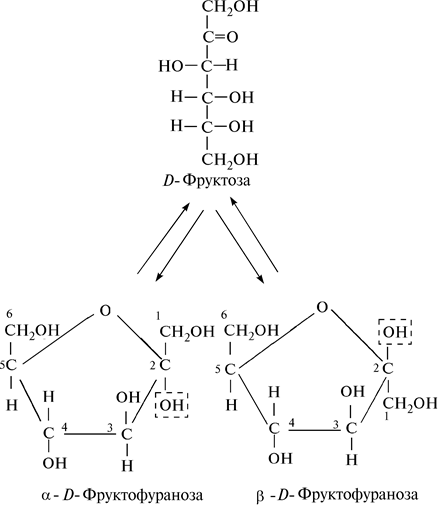
Если гликозидный гидроксил расположен под плоскостью пиранозного или фуранозного кольца, то моносахариды находятся в a-форме, если же гликозидный гидроксил расположен над плоскостью кольца, то образуются b-формы сахаров. На рис. 2 и 3 гликозидный гидроксил обозначен пунктиром.
Поэтому полуацетали могут существовать в виде двух стереоизомеров: a-глюкопиранозы и b-глюкопиранозы, a-фруктофуранозы и b-фруктофуранозы (рис. 2 и 3).
Существование a- и b-изомеров обеспечивает большое химическое разнообразие полисахаридов. Так, в крахмале глюкоза представлена a-, а в целлюлозе b-формой. Поэтому полисахариды имеют различные строение, функцию и способность включаться в процесс дыхания, а также усваиваться в желудочно-кишечном тракте животных и человека.
Это явление характерно только для свежеприготовлен-ных растворов сахаров. Суть его заключается в том, что сразу после растворения сахара удельное вращение водных растворов моносахаридов начинает изменяться, достигая лишь через некоторое время постоянной величины. Это объясняется тем, что происходит взаимные превращения различных форм углеводов (рис. 2 и 3).
В молекуле кетогексоз гидроксильная группа пятого углеродного атома взаимодействует с карбонильной группой у второго углеродного атома, образуя пятичленное фуранозное кольцо с полуацетальной связью (рис. 3).

Рис. 3. Ациклическая и циклическая формы фруктофуранозы
D-Фруктоза образует две фуранозные формы (a-D- и b-D-фруктофуранозы), из которых чаще встречается b-D-фруктофураноза.