ВОПРОС 21
Расчет бюджета рабочего времени
Расчет бюджета рабочего временихарактеризует плановое количество дней и часов, которые может отработать один рабочий или служащий в плановом периоде. Учет времени в человеко-часах ведется, как правило, для категории рабочих, а для остальных категорий персонала обычно применяются человеко-дни. При планировании персонала различают календарный, табельный (номинальный), максимально возможный, плановый (эффективный) и фактический фонды рабочего времени.
Календарный фонд рабочего времени (Тк) равен числу календарных дней за определенный календарный период (месяц, квартал, год). Он может быть рассчитан на всю численность рабочих, группу рабочих предприятия (цеха, участка) и в среднем на одного рабочего (в человеко-днях или человеко-часах):
Тк = Дк × Рсс (человеко-дней);
Тк = Дк × Рсс × Пс (человеко-часов),
где Дк — число календарных дней в данном периоде; Рсс — среднесписочная численность рабочих в данном периоде, человек; Пс — средняя установленная продолжительность смены, ч
Табельный (номинальный) фонд рабочего времени (Ттаб) определяется как разность между календарным фондом рабочего времени рабочих (в человеко-днях или человеко-часах) и количеством человеко-дней (человеко-час), не используемых в праздничные (Тпрз) и выходные дни (Тв):

или

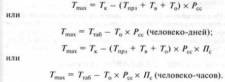
Максимально возможный фонд рабочего времени (Ттах) характеризует потенциальную величину максимально возможного для использования фонда рабочего времени рабочих в данном периоде, кроме выходных, праздничных дней и времени на очередные отпуска (То) и определяется по формуле:

Плановый (эффективный) фонд рабочего времени (Трв) меньше максимально возможного фонда на величину планируемых невыходов рабочих на работу по уважительным причинам (невыходы на работу по болезни и родам, время на выполнение государственных и общественных обязанностей, продолжительность учебных отпусков и др.). Продолжительность планового (эффективного) фонда рабочего времени (в человеко-часах) может быть определена на основе баланса рабочего времени по следующей формуле:
Трв = (Тк – Тв – Тпрз – То – Тб – Ту – Тг – Тпр) × Псм – (Ткм + Тп + Тс),
где Тк — число календарных дней в году; Тв — число выходных дней в году; Тпрэ — число праздничных дней в году; То — продолжительность очередных и дополнительных отпусков, дней; Т6 — невыходы на работу по болезни и родам, дней; Ту — продолжительность учебных отпусков, дней; Тг — время на выполнение государственных и общественных обязанностей, дней; Тпр — прочие неявки, разрешенные законом, дней; Тсм — продолжительность рабочей смены, часов; Ткм — потери рабочего времени в связи с сокращением длительности рабочего дня кормящим матерям, часов; Тп — потери рабочего времени в связи с сокращением длительности рабочего дня подросткам, часов; Тс — потери рабочего времени в связи с сокращенным рабочим днем в предпраздничные дни, часов.

Число нерабочих дней по уважительным причинам (Т6, Ту, Тг, Тпр, Ткм и Тп) определяется, как правило, на основе средних данных отчета за прошедший год и в соответствии с законодательством по труду. Пример расчета планового (эффективного) фонда рабочего времени представлен в табл. 16.1.
Средняя установленная продолжительность рабочего дня рассчитывается как среднеарифметическая величина, взвешенная с учетом официально установленной продолжительности рабочего дня по численности отдельных групп рабочих.