Работа Б-2. Определение коэффициента Пуассона
1. Цель работы
Экспериментально определить коэффициент Пуассона для воздуха и сравнить полученное значение с теоретическим.
2. Приборы и принадлежности:
1. Закрытый баллон с краном.
2. Водяной манометр.
3. Ручной насос.
3. Краткая теория
Системой тел или просто системой называется совокупность рассматриваемых тел или частиц. Некоторое количество газа состоящего из определенного числа молекул (частиц) представляет собой термодинамическую систему.
Всякая система может находиться в различных состояниях, характеризующихся определенными параметрами. Основными параметрами, однозначно определяющими состояние газа, являются: объем
, давление
, температура
. Эти величины связаны между собой уравнением состояния, которым для идеального газа является уравнение Менделеева - Клапейрона:
,
где R=8,31
- универсальная газовая постоянная,
- число молей газа, которое в данном случае параметром не является, так как определенно задано.
Равновесным называется такое состояние системы, при котором:
a) параметры во всех точках системы с течением времени не меняются;
b) нет внешних воздействий, которые поддерживали бы эти параметры неизменными.
Если хотя бы одно из этих условий не выполняется, то состояние системы является неравновесным.
Графически равновесное состояние системы можно изобразить точкой, отложив по осям координат значения двух параметров (третий параметр однозначно определяется из уравнения состояния).
Термодинамическим процессом называется изменение состояния рассматриваемой системы, например, данного количества газа
, характеризующееся изменением ее параметров. Процесс, состоящий из совокупности последовательных равновесных состояний, называется равновесным.
Известны следующие равновесные процессы:
1. Изохорический процесс (
).
2. Изобарический процесс (
).
3. Изотермический процесс (
).
4. Адиабатический процесс – процесс, протекающий без теплообмена с внешней средой, (энтропия
, изоэнтропийный процесс).
Эти процессы можно графически изобразить на диаграммах непрерывными линиями, которые соответственно называют изохорой, изобарой, изотермой, адиабатой. Равновесные процессы являются обратимыми, так как их можно провести в обратном направлении через те же промежуточные состояния системы, что и при прямом ходе.
Одним из фундаментальных законов термодинамики есть закон сохранения энергии с учетом механической и тепловой энергии. Такая общая формулировка закона сохранения энергии называется первым законом (началом) термодинамики:
.
Количество тепла
, сообщенное системе, идет на изменение (увеличение) ее внутренней энергии
и на совершение системой работы
.
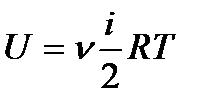
Внутренняя энергия идеального газа определяется суммарной кинетической энергией поступательного и вращательного движений составляющих его молекул:
,
где
- число степеней свободы молекул газа .
Напомним, что числом степеней свободы
молекулы называется наименьшее число независимых координат, определяющих положение молекулы в пространстве, или число независимых движений, которые может совершать молекула. Для одноатомной молекулы
(три степени свободы поступательного движения), для двухатомной жесткой молекулы
(три поступательные и две вращательные степени свободы), для трехатомной и более сложной жесткой молекулы
(три поступательные и три вращательные степени свободы).
Для характеристики тепловых свойств газа (тела) пользуются физической величиной, называемойтеплоемкостью(удельной
и молярной
).
Удельная теплоемкость
- это физическая величина, численно равная количеству тепла, необходимого для нагревания единицы массы вещества на один Кельвин:
,
- масса вещества, единица измерения в СИ:
.
Молярная теплоемкость
- это физическая величина, численно равная количеству тепла, необходимого для нагревания одного моля вещества на один Кельвин.
,
- число молей вещества, [
]=
.
Между удельной
и молярной
теплоемкостями существует очевидная связь
,
где
- молярная масса данного вещества (
).
Поскольку количество тепла
зависит от процесса, то для газов различают теплоемкости в зависимости от того, как идет нагревание: при постоянном объеме (
) или при постоянном давлении (
).
Применяя первый закон термодинамики к изохорическому и изобарическому процессам и учитывая определение молярной теплоемкости, получим значения:
,
- формула Майера,
или
.
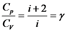
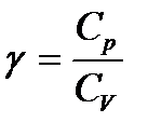
Отношение теплоемкостей при постоянном давлении и при постоянном объеме:

зависит только от числа степеней свободы
молекулы и, следовательно, представляют собой характерную для каждого газа величину. Эта величина называется коэффициентом Пуассона, или показателем адиабаты, так как входит в уравнение адиабатического процесса (уравнение Пуассона):
.
4. Описание установки и методика измерений.
Установка представляет собой закрытый баллон, соединенный с водяным манометром и насосом (рис.1).
Если с помощью насоса накачать в баллон воздух, то его давление внутри баллона станет выше атмосферного, что отмечается разностью уровней воды в обоих коленах манометра. При нагнетании воздуха внешние силы совершают над газом работу, за счет которой увеличивается внутренняя энергия газа и, следовательно, его температура станет выше комнатной. По истечении трех - четырех минут в результате теплообмена температура воздуха в баллоне понизится до комнатной, давление в баллоне за счет этого станет немного меньше, и разность уровней манометра сократится до установившегося значения
. На диаграмме
(рис.2) это состояние обозначим точкой 1, параметры которого
. При этом давление
, (1)
3 (
|
1 (
|
2 (
|
| Рис. 2 |
- атмосферное давление,
- коэффициент пропорциональности. При быстром открывании на короткое время крана часть воздуха выходит, а оставшийся в баллоне воздух также быстро расширяется, и за это короткое время не успевает произойти теплообмен с окружающей средой, так что этот процесс можно считать адиабатическим расширением (кривая 1-2). Состояние 2 воздуха в баллоне характеризуется параметрами
. При этом
<
, так как при адиабатном расширении газ совершает работу за счет его внутренней энергии. При этом давление
(атмосферному).
Для адиабатического перехода из состояния 1 в состояние 2 справедливо уравнение Пуассона
. (2)
После закрытия крана через три – четыре минуты воздух в баллоне нагреется до комнатной температуры
и его давление повысится до значения
, что отмечается установившейся разностью уровней
в коленах манометра. Так что
(3)
Нагревание воздуха происходит при постоянном объеме
, поэтому процесс 2 - 3 является изохорическим. Конечное состояние 3 характеризуется параметрами
. Так как температура в состояниях 1 и 2 одинакова и равна комнатной
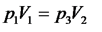
, то пунктирная кривая 1 - 3 является изотермой, и для изотермического процесса справедлив закон Бойля – Мариотта:
или
. (4)
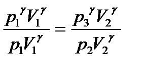
Возводим уравнение (4) в степень
и делим на уравнение (2):
, или
, или
.
Из последнего выражения находим показатель адиабаты:
.
Так как давления
и
мало отличаются от давления
, то есть малые сжатия и разрежения воздуха, то разности логарифмов можно принять пропорциональными разности самих давлений. Тогда
. В последнее выражение подставляем значения
и
из равенств (1) и (3), и, сокращая коэффициент пропорциональности
, получим
. (5)
Формула (5) является расчетной для определения коэффициента Пуассона
.
5. Порядок выполнения работы
1. Осторожно, чтобы не выплеснулась вода из манометра, накачать воздух в баллон до разности уровней воды в коленах манометра в 15 - 20 см.
2. Закрыть кран и выждать три - четыре минуты, за которые температура внутри баллона понизится до комнатной, то есть воздух в баллоне будет находиться в состоянии термодинамического равновесия, и уровни воды в манометре установятся.
3. По нижним краям менисков отсчитать разность уровней
.
4. Быстро полностью открыть и сразу же закрыть кран. За это короткое время часть воздуха выйдет из баллона до установления в баллоне атмосферного давления
.
5. Подождать три - четыре минуты, пока температура в баллоне не повысится до температуры окружающей среды.
6. Отсчитать разность уровней воды в манометре
.
7. По формуле (5) вычислить экспериментальное значение коэффициента
.
8. Пункты 1 - 7 проделать 10 раз и данные измерений и вычислений записать в таблицу.
9. Определить среднее значение
.
10. По среднему значению
определить для каждого опыта абсолютную погрешность
, а затем и ее среднее значение
.
11. Результат записать в виде
.
12. Сравнить полученное значение
в пределах погрешности с
, вычисленным по формуле
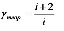
. Считать воздух двухатомным газом.
Таблица измерений и вычислений.
| Номер опыта |
|
|
|
|
|
|
6. Контрольные вопросы
1. Записать и сформулировать первый закон термодинамики.
2. Что называется внутренней энергией идеального газа?
3. Применить первый закон термодинамики ко всем изопроцессам.
4. Что называется молярной теплоемкостью газа? Единица измерения.
5. Что называется удельной теплоемкостью вещества? Единица измерения.
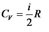
6. Что называется изохорной и изобарной теплоемкостями газа? Их формулы через число степеней свободы.
7. Записать формулу Майера.
8. Определить физический смысл универсальной газовой постоянной.
9. Какой процесс называется адиабатическим? Уравнение Пуассона для этого процесса.
10. Что называется коэффициентом Пуассона? Записать его формулу.
11. Изобразить и сравнить в координатах
графики изотермического и адиабатического процессов.
12. При каком расширении, адиабатическом или изотермическом, газ совершает большую работу и почему?
13. Как выгоднее сжимать газ, адиабатически или изотермически и почему?
14. Назовите все изопроцессы, запишите их условия, уравнения и графики в координатах
.