Методические указания по решению практических заданий темы

Раздел I. ОРГАНИЗАЦИЯ (ПРЕДПРИЯТИЕ) И ВНЕШНЯЯ СРЕДА

 

Тема 1. Организация (предприятие) в системе национальной экономики Республики Беларусь

 

Теоретические вопросы к теме

Промышленность и ее роль в социально-экономическом развитии общества.

Понятие отрасли. Пути возникновения отраслей.

Классификация и группировка отраслей промышленности.

Отраслевая структура промышленности и показатели ее оценки.

Структурная перестройка промышленности Республики Беларусь, ее приоритетные отрасли и основные направления развития.

 

Методические указания по решению практических заданий темы

Отрасль промышленности – совокупность самостоятельных предприятий, цехов и производств, которые характеризуются:

- единством назначения производимой продукции (работ, услуг);

- однотипностью технологического оборудования;

- однотипностью технологических процессов;

- особым профессиональным составом кадров;

- однородностью перерабатываемой продукции.

Отраслевая структура – состав отраслей, их количественное соотношение, отражающее сложившиеся производственные взаимосвязи между ними.

Отраслевая структура характеризует:

- степень общественного разделения труда;

- уровень отраслевой дифференциации производства;

- производственные связи между промышленностью и другими отраслями экономики;

- производственные связи внутри промышленности.

Задачи анализа отраслевой структуры:

- выявление степени экономической самостоятельности и индустриализация страны;

- анализ технической оснащенности экономики;

- анализ социальной направленности промышленного производства;

- оценка уровня развития конкуренции.

Система показателей анализа отраслевой структуры.

1. Группа показателей, характеризующих количественное соотношение отраслей, производств и межотраслевых комплексов.

1.1 Удельный вес отрасли в общем объеме производства промышленной продукции ( ):

 

, (1.1)

 

где - объем производства продукции i-ой отраслью; - суммарный объем выпуска продукции по промышленности.

1.2 Удельный вес балансовой стоимости основных производственно-промышленных средств ( ):

 

, (1.2)

 

где - балансовая стоимость основных промышленно-производственных средств i-ой отрасли; - суммарная балансовая стоимость основных промышленно-производственных средств по отраслям промышленности.

1.3 Удельный вес отрасли в общей численности промышленно-производственного персонала ( ):

, (1.3)

 

где - численность промышленно-производственного персонала i-ой отрасли; - суммарная численность промышленно-производственного персонал по промышленности.

2. Группа показателей, характеризующих структурные сдвиги за анализируемый период.

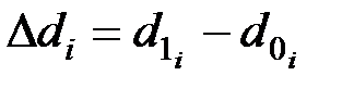
2.1 Изменение количественного соотношения отраслей за анализируемый период ( ):

 

, (1.4)

 

где ( ) – удельный вес отрасли соответственно в отчетном (1) и базисном (0) периодах.

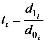
2.2 Интенсивность структурных сдвигов отрасли ( ):

 

, (1.5)

 

2.3 Отраслевые коэффициенты опережения ( ):

 

, (1.6)

 

, (1.7)

 

где ( ) – выпуск продукции i-той отрасли в отчетном (1) и базисном (0) периодах.

, (1.8)

 

где ( ) – выпуск продукции по промышленности в отчетном (1) и базисном (0) периодах.

 

, (1.9)

 

где - удельный вес i-ой отрасли в плановом периоде по показателю выпуска продукции; - удельный вес i-ой отрасли в базисном периоде.

3. Группа показателей, характеризующих структурные связи между отраслями.

В практике анализа и планирования применяются две формы производственных связей:

- внутриотраслевые;

- межотраслевые.

Внутриотраслевые связи характеризуются удельным весом продукции соответственного производства , которая используется отраслью для дальнейшего производства во всем производственном потреблении.

Межотраслевые связи выражают взаимоотношения отрасли по использованию продукции в дальнейшей промышленной переработке. Характеризуются удельным весом продукции данной отрасли, которая направляется на дальнейшую переработку в другие отрасли.

4. Группа показателей, характеризующих степень опосредованности связей между отраслями.

Выделяют прямые связи, которые осуществляются непосредственно между предприятиями двух отраслей. Косвенные связи осуществляются через предприятия других отраслей.