Згідно з ГОСТ 2.701-84 Схеми автоматизації за типом мають свої шифри. Знайти відповідність.
Структурна 1
Функціональна 2
Принципова 3
З'єднань 4
Підключень 5
Визначити рівняння, яке описує пропорціонально-інтегрально-диференціальний (ПІД) закон регулювання системи автоматичного керування
;
;
;
;
+ 
Визначити рівняння, яке описує пропорціональний закон регулювання системи автоматичного керування.
+
;
;
;
;

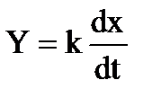
Визначити рівняння, яке описує інтегральний закон регулювання системи автоматичного керування.
;
+
;
;
;

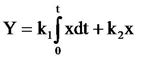
Визначити рівняння, яке описує пропорціонально-інтегральний закон регулювання системи автоматичного керування.
;
;
+
;
;

Визначити часову характеристику, яка описує пропорціонально- інтегрально-диференціальний закон регулювання системи автоматичного керування.

1. 2. 3. 4. 5.+