Методика расчёта
Производительность плунжерного гомогенизатора С, м/с,
(2.73)
где D и S - диаметр и ход плунжера, м; ω - угловая скорость вращения коленчатого вала, рад/с; z - число плунжеров, шт.; ηн - КПД насоса (ηн = 0,80...0,90).
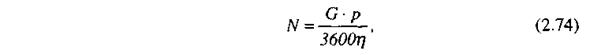
Мощность электродвигателя гомогенизатора N, кВт, ,


Толщина тарелки клапана hкл ,м

где p – давление гомогенизации, [σ] = 24*107Па - допускаемое напряжение для материала клапана; dкл, - диаметр клапана, м,

здесь G - производительность гомогенизатора, м3/с; νð- допускаемая скорость жидкости в седле, м/с (для всасывающего клапана 2 м/с, а для нагнетательного 5...8 м/с); ΔF - площадь сечения хвостовика, м2

здесь rк - радиус хвостовика, м; rк = (4...5)10-3м.
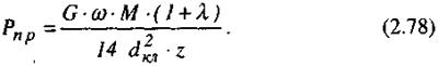
Пружину нагнетательного клапана рассчитывают, исходя из необходимого усилия Рпр при закрытом клапане

где G - производительность гомогенизатора, м3/с; ω - угловая скорость вращения коленчатого вала, рад/с; М - масса клапана, кг (М=0,4кг); λ- отношение радиуса кривошипа к длине шатуна
(λ = 0,15...0,20); dкл - диаметр клапана, м; z - число плунжеров, шт. Сила сжатия пружины при рабочей деформации Pò, H,

Жесткость пружины Ж, Н/м,

При гомогенизации часть механической энергии превращается в теплоту, вследствие чего происходит повышение температуры гомогенизируемого продукта Δt, К,

где р - давление гомогенизации, Па; с -Дж/(кг К) - удельная теплоемкость; ρ- кг/м - плотность продукта, кг/м .
Средний диаметр частиц, м, в диапазоне изменения давления от 2,0 до 20,0 МПа определяется по формуле
Н.В. Барановского

где р - давление гомогенизации, МПа.
Расчет предохранительных клапанов можно свести к определению проходного сечения седла клапана с учетом вязкости обрабатываемой жидкости. Для маловязких жидкостей (молоко, соки диаметр, м, проходного сечения седла определяется по формуле

где рв - давление всасывания, МПа (р„ = 0,2 МПа); δв- отношение массы перекачиваемой жидкости к массе воды (для молока; δв.=1,03).