Інтегральні характеристики сигналу: Коефіцієнт амплітуди, форми та усереднення. Коефіцієнт гармонік.
Амплітудне (пікове) значення Ym дорівнює максимальному на періоді значенню сигналу Y (t). По суті своїй амплітудне значення є миттєвим, а не інтегральним. Однак воно використовується при розрахунку коефіцієнтів форми, амплітуди і усереднення і тому розглядається в цьому розділі.
Середнє значення
описує постійну складову сигналу. Так, для синусоїдального сигналу середнє значення дорівнює нулю, отже, він не містить постійної складової.
Середнє значення за період
використовується для симетричних щодо осі часу сигналів, тобто не містять постійної складової.
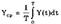
Середньоквадратичне значення 
де Yk - середньоквадратичне значення k-ї гармоніки сигналу Y (t). Його іноді називають діючим або ефективним. Середньоквадратичне значення сигналу є єдиною мірою його потужності.
Зв'язок між перерахованими параметрами встановлюється за допомогою наступних коефіцієнтів:
форми kф = Yскз / Yсвз,
амплітуди ka = Ym / Yскз
усереднення ky = Ym / Yсвз = kakф.