Every question answered and explained.
Chapter 1:
1.
A: 
B: 
The best answer is A.
Simplify each of the expressions.
Column A can be written as:
.
Column B can be written as:
, which is smaller than one and thus smaller than column A.
2.
A: The distance from checkpoint A to nest C
B: 100 miles
AI: A group of airplanes fly an hour north from checkpoint A to checkpoint B at an average speed of 80 miles per hour and then another hour west from checkpoint B to checkpoint C at an average speed of 30 miles per 30 minutes.
The best answer is C.
Draw a sketch of the path; you can see that the planes form a right triangle with three corners: A, B and C.
The distance from A to C can be calculated using the Pythagoras principle as followed: AC =
miles and therefore the answer is C.
3.
A: 
B: 
The best answer is C.
Remember the expression: (X + Y)(X – Y) = X2 – Y2.
Now use this formula in both cases to get:
A =
= 17 – 121 = -104.
B =
112 = -104 and therefore both columns are equal.
4.
A: 
B: 0
AI: X is a positive integer greater than zero
The best answer is D.
When X=0, column A equals to zero but in all the other cases it doesn’t and therefore the answer cannot be determined.
5.
A: X – 100Y
B: 0
AI: X and Y are both negative integers
The best answer is D.
We don’t know if X is greater than Y or the opposite and therefore we cannot determine if the expression given in column A is negative or positive.
6.
AI: Last year, the American economy was much weaker than today.
A: The price of a car last year.
B: The price of a car today.
The best answer is D.
We are not economists and therefore the data about the economy has no correlation to the changing price of a car. The relationship cannot be determined from the information given.
7.
A: The surface area of the entire cube in feet squared
B: 36 feet squared
AI: One of the faces of a cube has an area of 6 feet squared
The best answer is C.
If one of the faces is 6 feet squared, the total surface area of the cube is simply 6 x 6 (there are 6 faces to a cube) = 36 feet squared and so both columns are equal.
|
8.
A: The perimeter of the rectangle
B: 16R
AI: Two circles with a radius of R are blocked inside a rectangle
The best answer is B.
According to the figure, one side of the rectangle is equal to 4R and the other is equal to 2R.
The perimeter of the rectangle is therefore 2(4R + 2R) = 12R.
16R > 12R and so the answer is B.
9.
A: 7 + 72 + 73 + 74
B: 75
The best answer is B.
Don’t try to solve these columns, instead compare.
75 = 7 x 74 = 74 + 74 + 74 + 74, which is definitely greater than column A.
10.
A: X2
B: 
AI: -4 < X < -2
The best answer is A.
Take a representative number: X = -3.
Column A = 9 and column B = 3 and therefore the answer is A.
11.
A: (X + Y) 2
B: (X – Y) 2
AI: 
The best answer is D.
Simplify both columns and subtract common items.
A = X2 + 2XY + Y2.
B = X2 - 2XY + Y2.
Compare between 2XY to -2XY. There is no room to compare since we don’t know if X and Y are positive or negative.
12.
A: 15X
B: 14Y
AI: X > Y
The best answer is A.
If X > Y than 15X is definitely greater than 14Y and so the answer is A.
Chapter 2:
1.
A: 25 percent of 480
B: 120
The best answer is C.
25% of 480 is simply 480/4 = 120, which is equal to column B and so the answer is C.
2.
A: The digit in the thousands place of the rounded number
B: 3
AI: The number 273,666 is to be rounded to the nearest thousand.
The best answer is A.
The number is rounded to 274,000 since 6 > 5.
The digit in the thousands place is 4 and so column A is greater than column B.
3.
A: 14% of 14
B: 15% of 15
The best answer is B.
Don’t calculate, compare.
15 is greater than 14 and therefore 15% of 15 must be greater than 14% of 14. If you’ll calculate you will see that A = 1.96 and 2.25.
4.
A: The amount of money that the computer store received from the computer sales
B: $12,500
AI: A computer store sold more than half of its computers for $800 and the rest were sold for $650.
The best answer is D.
Since the question says that more than half were sold for $800, the answer cannot be determined because it is not specific enough.
We don’t know how many computers were sold in each price and so the right answer is D.
5.
A: XZ + Y
B: ZX + X
AI: X = 7 and Y = 9.
The best answer is A.
It doesn’t matter what is the value of XZ, it can be subtracted from both columns anyway. XZ is added with the value of Y in column A and with the value of X in column B, since Y > X column A is greater.
6.
A: ABC
B: A2BC
AI: B = 3 and C = 12
The best answer is D.
Since we don’t know the value of A, the answer cannot be determined.
Take A=2 and A=1 as two examples:
For A=2, column B is greater and for A=1, the columns are equal.
Since there is more then one answer, the right answer is D.
7.
A: A
B: B
AI: A < B2
The best answer is D.
Take two sets of numbers, for example: A=1, B=2 and A=1, B=-2.
In the first case A > B and in the second case A < B.
Since there is more then one answer, the right answer is D.
8.
A: Xo
B: 200o
AI: The angles of a quadrilateral are 54.5o, 13.6o, 67.2o and Xo.
The best answer is A.
The sums of all the angles in a quadrilateral are 360 degrees.
Write the equation: 360 = 54.5 + 13.6 + 67.2 + X.
Round each of the angles up: 55, 14 and 68.
è X = 223o, which is a lot greater than 200o and so the answer is A.
9.
A: X
B: 2.5
AI: 10 < X + 3Y < 20 and Y = 3X.
The best answer is B.
Replace 3X with Y in the inequality: 10 < X + 3(3X) < 20 è
10 < X + 9X < 20 è 10 < 10X < 20 divide all by 10 to get:
1 < X < 2 and so 2.5 is out of the range and column B is greater.
10.
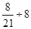
A: 
B: 
The best answer is B.
Column A = 1/21 = 2/42 and column B = 2/17.
The denominator of B is smaller and so column B is greater than column A.
|
11.
A: The length of the curved path from A to C
B: 50
AI: The radius of the circle is 25.
The best answer is A.
Angle ABC lies on the diameter of the circle since it is equal to 90o and therefore a straight line from A to C would equal 50.
Since any curved line is greater than any straight line between the same two points, the curved path is greater than 50.
12. Let {X, Y} be defined as the set of all prime numbers between X and Y, excluding X and Y. For example: {0, 4} include 1, 2 and 3.
A: A
B: B
AI: A is in {6, 11}
B is in {10, 17}
The best answer is B.
A can only be 7 and B can be 11 or 13.
Therefore B is greater than A.
Chapter 3:
1.
A: The number of convertible cars
B: 36
AI: All the convertible cars in the dealership are also red.
There are 40 red cars in the dealership.
The best answer is D.
Let’s take two number of convertible cars that would satisfy the conditions above: 38 and 25.
In the first case (38) there are 38 convertible cars in the dealership which are also red and the rest of the red cars (40 – 38 = 2) are not convertible.
In the second case (25) there are 25 convertible cars in the dealership which are also red and the rest of the cars (40 – 25 = 15) are not convertible.
Since there is a different answer every time, the right answer is D.
2.
A: X + Y – Z
B: 0
AI: X = 1433, Y = 737 and Z = 2160.
The best answer is A.
Calculate the expression in column A:
X + Y – Z = 1433 + 737 – 2160 = 2170 – 2160 = 10.
10 > 0 and so column A is greater.
3.
A: The factorial of X
B: The factorial of Y divided by the factorial of X
AI: X = 3 and Y = 6
The best answer is B.
The factorial of X (3) is 3! = 3 x 2 x 1 = 6.
The factorial of Y (6) is 6! = 6 x 5 x 4 x 3 x 2 x 1.
If we divide the factorial of Y by the factorial of X, the result would be
6 x 5 x 4 = 120.
120 > 6 and so column B is greater than column A.
4.
A: 7/19
B: 11/30
The best answer is A.
Bring the fractions to a common denominator: 30 x 19 = 570.
Column A =
and column B =
.
210 > 209 and so column A is greater than column B.
5.
A: One root of X2 – 10X + 24
B: One root of X2 – 5X + 6
The best answer is A.
Find the roots of each of the equations:
Column A: The equation can be written as (X – 6)(X – 4) and so its roots are 6 and 4.
Column B: The equation can be written as (X – 2)(X – 3) and so its roots are 2 and 3.
All the roots of column A are greater than all the roots of column B and so column A is greater.

6.
AI: The value of a certain stock is presented in the graph.
The value has decreased by S percent from 1971 to 1972 and increased
by T percent from 1969 to 1970.
A: S
B: T
The best answer is B.
1971-1972: The value decreased from 20 to 15, which is 5/20 or ¼ in percent terms.
1969-1970: The value increased from 12 to 16, which is 4/12 or 1/3 in percent terms.
1/3 > ¼ and so column B is greater.
7.
A: The value of Y – X
B: The value of X – Y
AI: 2X + Y = 10 and 2Y + X = 15
The best answer is A.
Subtract the first equation from the second to get: Y – X = 10.
Subtract the second equation from the first to get: X – Y = -5.
We can see that column A is greater.
8.
A: The number of bowls that can be made from 5 liters of flour
B: The number of dishes that can be made from 7 liters of four
AI: One liter of flour is sufficient to make 7 bowls or 5 dishes of cake.
The best answer is C.
Column A: With 5 liters of flour, 5 x 7 bowls of cake can be made.
Column B: With 7 liters of flour, 7 x 5 dishes of cake can be made.
9.
A: X
B: Y
AI: XY = Y
The best answer is D.
Using the additional data, X = 1.
We have no further data on Y and so the answer cannot be determined.
10.
A: The area of a square with a side of 7
B: The area of an equilateral triangle with a side of 7
The best answer is A.
Instead of calculating each of the areas, draw the square and the triangle in proportion: We can see clearly that the area of the square is much bigger.
11.
A: A x B
B: 5
AI: A/B = 0.
The best answer is B.
Since A/B = 0, A must be zero since it is the only variable that can nullify the equation.
A x B is therefore 0 and so column B is greater.
12.
A: X
B: X2
AI: Four times X equals 7 less than (X + 5)
The best answer is B.
Write the following equation: 4X = (X + 5) – 7 è 4X = X – 2 è
3X = -2 è X = -2/3 è X2 = 4/9.
4/9 > -2/3 and therefore column B is greater.
Chapter 4:
1.
A: 88% of the number of cookies that Ray sold
B: 44% of the number of cookies that Mary sold
AI: Ray sold twice as much cookies as Mary.
The best answer is A.
Let’s say that Ray sold 200 cookies and Mary 100.
Column A = 176 cookies while column B = only 44 cookies and therefore column A is greater.
2.
A: 60% of Jane’s money
B: 20% of Natalie’s money
AI: Natalie has three times more money than Jane
The best answer is C.
Let’s say that Jane has $100 and so Natalie has $300
Column A = 60% of 100 is $60.
Column B = 20% of 300 is $60 and so the columns are equal.
3.
A: 
B: 
AI: X > 7
The best answer is B.
Column A is simply
.
Column B is simply
and therefore this column is greater.
4.
A: 
B: 
AI: X > 0
The best answer is D.
Column A can be simplified to:
.
Column B can be simplified to:
.
If X is a fraction column A is greater, otherwise column B is greater.
Since there is more than one answer, the right answer is D.
5.
A: Z
B: 2Z
AI: X = 14 – Y + Z
Y + Z = 6 – X
The best answer is A.
Rewrite the equations: X + Y – Z = 14 and X + Y + Z = 6.
Subtract the first equation from the second: 2Z = 6 – 14 = -8 è Z = -4.
Column A= -4 and column B= -8 and so column A is greater.
6.
A: The probability of drawing a ball with stripes
B: The probability of drawing a ball with out stripes
AI: A jar contains 4 red balls with blue stripes, 5 orange balls, 8 black balls with yellow stripes and 2 black and white balls.
The best answer is A.
There are 4+5+8+2 = 19 balls in total.
There are 4+8 = 12 balls with stripes and so the probability of pulling a striped ball is 12/19 and the probability of pulling a ball with out stripes is 7/19 and so column A is greater.
7.
A: R
B: S
AI: The absolute value of R is smaller than S
The best answer is B.
We can write the additional information as
.
The only way that this inequality be true is if R < S and so column B is greater.
8.
A: Q
B: P
AI: The absolute value of Q is greater than P
The best answer is D.
We can write the additional as
.
Take two sets of numbers: Q=-3, P=2 and Q=3, P=2, they both fulfill the inequality yet they give different answers and so the right answer is D.
|
9.
A: Xo
B: Yo
AI: Line N is parallel to M
The best answer is D.
We know that line M and N are parallel yet no information was specified on the other two lines and so the answer cannot be determined.
10.
A: The cost of a desk
B: The cost of a chair
AI: 3 chairs and 2 desks cost $120
The best answer is D.
Let the price of one chair be X and the price of one desk be Y.
All we know is that 3X + 2Y = 120.
We have two unknowns and only one equation and therefore the answer cannot be determined.
11.
A: F
B: 15
AI: 
The best answer is A.
F = 4.5 x 3.5 = (9/2) x (7/2) = 63/4 = 15.75, which is greater than 15 and so column A is greater.
12.
A: 50o
B: X
AI: Y = X
The best answer is A.
Sum up the angles in the triangle: X+Y+2Y = 180 è
X+X+2X = 180 è X=45o and so column A is greater.
Chapter 5:
1.
A: P – Q
B: Q – P
AI: P is a prime number between 2 and 6 inclusive
Q is a prime number between 6 and 12 inclusive
The best answer is B.
The range of P is 2<P<6 yet the highest value of P is 5 since it is the largest prime in that range.
The range of Q is 6<Q<12 yet the smallest value of Q is 7 and therefore there is not overlapping between the groups.
Q is always larger than P and therefore column B is greater.
2.
A: The distance from A to B
B: The distance from B to C
AI: A, B, C and D are all points on an equilateral triangle.
The best answer is D.
We were given 4 points and not three (as in three corners).
Those 4 points can be anywhere on the triangle and therefore the distance between them is undeterminable.
3.
A: 5X2
B: 3Y2
AI: 3X = 5Z
2Z = 3Y
Z > 1
The best answer is
Column A = 5X2 = 
Column B = 3Y2 =
and so we can easily see that column A is greater than column B since Z > 1.
4.
A: 
B: 
The best answer is C.
AC is a common side to both the upper and the lower triangles.
According to the Pythagoras principle, AC2 = AB2 + BC2 and also
AC2 = AD2 + DC2 and if we compare the two equations and take a square root from both sides, we will see that the columns are equal to one another.
5.
A: X + Y
B: XY
AI: X = 9Y
X > 0
The best answer is D.
Replace X with 9Y in both columns to get:
Column A = 9Y + Y = 10Y and column B = 9Y x Y = 9Y2.
Since X is positive, Y is also positive but Y can be a fraction.
For example, if Y=1/2 column A is greater and if Y=2, column B is greater.
Since there is more than one answer, the right answer is D.
6.
A: 0
B: The sum of the three integers
AI: The product of three integers is zero
The best answer is D.
Take two examples: 0, 1 and 2 or -1, 0, 1.
In the first case, their sum is 3 and in the second case their sum is 0.
Since there is more than one answer, the right answer is D.
7.
A: 102
B: W
AI: 250 < 3W – 86 < 460
The best answer is B.
Simplify the given range:
250 < 3W – 86 < 460 è 250 + 86 < 3W < 460 + 86 è 336 < W < 546 è
112 < W < 182.
Every value of W is greater than 102 and therefore column B is greater than column A.
8.
A: The entire surface area of the larger cube
B: The sum of the surface areas of 125 small cubes
AI: 125 cubes, 3 by 3 by 3 in dimensions, are put together to form a larger cube.
The best answer is B.
Imagine the cubes forming a larger cube together.
As you can see, a lot of the surface area of the smaller cubes is hidden inside the larger cube and therefore they must have more surface area.
Let’s calculate just to be sure:
Each small cube has a surface area of (6 sides) x (3 x 3) = 54.
125 cubes will have a surface area of 125 x 54 = 6750.
The larger cube is 15 by 15 by 15 in dimensions and so it has a surface area of (6 sides) x (15 x 15) = 1350, which is a lot smaller than the surface area of the smaller cubes.
9.
A: M – N + Z – X
B: Z – Y
AI: X – Y = Z – X = M – N
The best answer is C.
Take X – Y = Z – X è 2X = Z + Y, subtract 2Y from both sides:
2X – 2Y = Z – Y è 2(X – Y) = Z – Y è
We know that 2(X – Y) is equal to Z – X + M – N and therefore we can see that the columns are equal to one another.
10.
A: The age of Bartholomew
B: The age of Christopher
AI: The gang’s average age didn’t change after Bartholomew left and Christopher joined
The best answer is C.
The only way that the average age didn’t change after someone has left the gang and someone joined is if their age is the same, and therefore the columns must equal to one another.
11.
A: The number of possibilities of choosing a secretary and a janitor out of a group of 5 candidates
B: The number of possibilities of choosing 19 birds out of a cage containing 20 birds in total
The best answer is C.
Column A: For the first pick there are 5 options and in the second pick there is 1 less, thus 19 options. The number of possibilities is 5 x 4 = 20.
Column B: Choosing 19 out of 20 is the same as choosing one out of 20 (which bird wont be picked) and therefore there are 20 birds to choose from and the number of possibilities here is also 20.
12.
A: The output of the first faucet
B: The output of the second faucet
AI: The first faucet can fill 3 pools in 7 hours and the second faucet can fill 4 pools in 9 hours.
The best answer is B.
The output of the first faucet is 3 pools in hours, or one pool in 7/3 hours and so its output is
.
The output of the second faucet is 9/4 = 2.5, which is greater than column A.
Chapter 6:
1.
A: The amount of corn, in pounds, that each person should receive
B: 33
AI: A 100 pound sack of corn is to be divided equally among three people
The best answer is A.
100 pound is to be divided equally by three, and therefore each person should receive
pounds, which is greater than column B.
2.
A: The amount of beef that each cook should receive, in grams
B: 500 grams
AI: 3 Kilograms of beef jerky are to be divided equally among six cooks
3 Kg are 3000 grams.
3,000 grams divided to 6 cooks is 500 grams per cook and therefore the columns are equal.
3.
A: 
B: 
AI: A > 0
The best answer is D.
Column A can be written as A2 x 0.25 = A0.5.
Column B can be written as A4 x 0.5 = A2.
Pick up two numbers: A=0.5 and A=2.
For A=0.5, column A is greater and for A=2, column B is greater.
Since there is more than one answer, the right answer is D.
4.
A: 1/X – 1/3
B: 1/3
AI: X is an integer smaller than 3
The best answer is D.
X can be one of the following: 2 or 1.
If X=1, 1 – 1/3 = 2/3 and so column A is greater.
If X=2, ½ - 1/3 = 1/6 and so column B is greater.
Since there in more than one answer, the right answer is D.
|
5.
AI: The length of line segment AB is 14
A: X
B: 14
The best answer is A.
If the line segment is 14 in length, the X coordinate of point B should be
2 + 14, which is 16 and so column A is greater than column B.
6.
A: The increase in the volume of a cylinder A when its height is increased by a foot
B: The increase in the volume of a cylinder B when its height is increased by a foot
The best answer is D.
Let’s take two examples of cylinders: The first is when cylinder A and B are identical- the increase in the height will increase their volumes in the same manner and column A will equal column B.
The second is if the radius of the first cylinder is 2 times bigger than that of the second cylinder. If we increase the height in both cylinders, the cylinder with the larger radius will grow by much more since the volume is calculated using the radius squared.
7.
AI: 3M + 32 = 388 – 7M
A: 100
B: 3M
The best answer is B.
Solve the equation: 3M + 32 = 388 – 7M è 10M = 356 è M = 35.6
è 3M = 3 x 35.6 = a number that is larger than 100 and so column B is greater.
8.
AI: Mark and Jim both have a basketball card collection.
The number of cards in Mark’s album is 10 less than 12 times the number of cards in Jim’s album.
A: The number of cards in Mark’s album
B: The number of cards in Jim’s album
The best answer is A.
Take the critical case: Jim has only one card and so Mark has 11 less than 12, thus two cards only, which is greater than the number if cards that Jim has. For any other number, Mark will have many more cards than Jim has and so A is the right answer.
9. AI: Julia and Catharine collect antique furniture. The number of antique items in Catharine’s collection is 3 less than 4 times the number in Julia’s antique collection.
A: The number of antique items in Julia’s collection
B: The number of antique items in Catharine’s collection
The best answer is D.
If Julia has only one item in her collection, Catherine will have 3 less than 4, which is also 1 and so column A will equal column B.
For every other number of items, column B is greater and so the right answer in this case is D.
10.
AI: X is 3 times Y
Y is ¼ of Z
Z is 5 times W
W is ½ of S
A: S
B: X
The best answer is B.
X = 3Y = 3(Z/4) = ¾(Z) = ¾(5W) = 15W/4 = 15(S/2)/4 = 15S/8.
Cross multiply to get: 8X = 15S and so X > S and column B is greater.
11.
AI: ¼ < X < 1/6
1/5 < Y < 1/7
A: X
B: Y
The best answer is D.
There are certain values in which X=Y, for example 2/11.
Since X=Y in some numbers and in other numbers, X is greater than Y, the right answer is D.
12.
AI: A 100 liters aquarium is currently one fifth full
A: The number of liters required to make the aquarium half full
B: 40 liters
The best answer is B.
If the aquarium is 1/5 full, it contains 100/5 = 20 liters.
In order to make it half full, 30 liters should be added to the aquarium.
30 < 40 and so column B is greater.
SAT Quantitative test