Качественные показатели перевозки грузов
ПЛАНИРОВАНИЕ ГРУЗОВЫХ ПЕРЕВОЗОК
Железные дороги всегда были одним из основных видов транспорта при перевозках грузов в России, поскольку перемещение больших объемов грузов на дальние расстояния другими видами транспорта в широтном направлении (основное направление грузопотоков в России) было невозможно. Грузовые перевозки ( работа по перемещению грузов) являются основной частью продукции железнодорожного транспорта.
Показатели плана грузовых перевозок
Грузовые перевозки на железнодорожном транспорте характеризуются рядом показателей. Основными из них являются: объем перевозок; грузооборот; количество отправок; густота перевозок; средняя дальность перевозок; неравномерность перевозок и другие качественные показатели.
Объем перевозок грузовхарактеризует продукцию железнодорожного транспорта, т.е. количество тонн грузов, перевезенных за определенный промежуток времени.
Общий объем перевозок по сети дорог (∑P) складывается из отправления грузов всеми дорогами, приема грузов с заграничных дорог и с водного транспорта, т:

Для сети железных дорог количество отправленного груза равно количеству прибывшего груза и равно количеству перевезенного груза, т:
∑Ротпр = ∑Рприб = ∑Рперев
Для отдельной железной дороги количество перевезенного груза, в связи с наличием транспортных потоков, определяется суммой отправленного груза и принятого с других дорог (если учет ведется по начальному моменту) или суммой прибывшего под выгрузку груза и сданного на другие дороги (если учет ведется по конечному моменту):
∑Рперев = ∑Ротпр + ∑Рприем = ∑Рприб + ∑Рсдано
|
Основным объемным показателем, характеризующим перемещение груза является грузооборот (∑Рl ), который дифференцируется по видам сообщений.
К местному сообщению относятся перевозки в пределах одной дороги;
к прямому сообщению — перевозки на участках двух и более дорог.
В прямом сообщении выделяют:
- вывоз, т.е. отправление грузов со станций данной дороги на другие дороги сети;
- ввоз, т.е. прибытие грузов со станций других дорог сети на данную дорогу;
- транзит, т.е. перевозка грузов, поступающих с других дорог и следующих через данную дорогу на другие дороги сети.
Таким образом, объем перевозок грузов по видам сообщений, т:

Прием можно рассматривать как сумму ввоза и транзита, т:

сдачу — как сумму вывоза и транзита, т:

Отправление определяется суммой вывоза и местного сообщения, т:

прибытие - суммой ввоза и местного сообщения, т:


Распределение перевозок по видам сообщений необходимо для правильного расчета доходов и расходов дороги, так как каждая дорога выполняет различное количество операций, связанных с перевозками грузов в разных сообщениях. Только при перевозке в местном сообщении выполняется весь цикл перевозочных операций, тогда как при вывозе дорога не производит конечной операции, при ввозе — начальной, а при транзите — ни начальной, ни конечной.
Общий объем перевозок грузов характеризуется также показателем «работа» в вагонах (∑Uр):
- для отдельной дороги и для отделений
∑Uр = ∑Uп = ∑Uпргр или ∑Uр = ∑Uв = ∑Uсдгр ,
где ∑Uп - количество погруженных вагонов;
∑Uпргр - количество принятых груженых вагонов с других дорог (отделений);
∑Uв - количество выгруженных вагонов;
∑Uсдгр - количество сданных груженых вагонов на другие дороги (от деления).
Грузооборот определяется произведением количества перевезенных тонн (Рi) на расстояние их перевозки (l
) и измеряется в условно-натуральных единицах – тонно-километрах:
.
Грузооборот нетто— это полезная работа транспорта, учитывающая перемещение только груза; грузооборот бруттоучитывает перемещение груза вместе с массой тары подвижного состава. Отношение грузооборота нетто и брутто характеризует коэффициент полезного действия (КПД) грузового железнодорожного транспорта. КПД железнодорожного транспорта не превышает единицы:

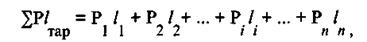
Грузооборот нетто может быть тарифным и эксплуатационным. Тарифный грузооборотрассчитывается по так называемым "тарифным" расстояниям:

где Рi — количество тонн i-го вида груза;
li— тарифное расстояние перевозки i-го вида груза, км.
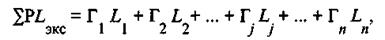
Эксплуатационный грузооборотопределяют по фактическому пробегу груза:

где Гj — густота грузовых перевозок на j-м участке, т;
Lj— протяженность j-го участка, км.
Как правило, эксплуатационный грузооборот больше тарифного. Однако, если в тарифном руководстве в расстояние целиком включены участки крупных железнодорожных узлов, таких как Москва и Санкт-Петербург используются так называемые виртуальные расстояния, равные для Московского железнодорожного узла 54 км, а для Санкт-Петербургского - 25 км при любом расстоянии перевозки между станциями узла.
На отделении железной дороги тарифный грузооборот не выделяется. Считается, что тарифный грузооборот равен эксплуатационному, т.к. внутри отделения дороги груз идет, как правило, по кратчайшему расстоянию.
На объем перевозок и грузооборот влияют:
- объем производства промышленной и сельскохозяйственной продукции;
- уровень товарности продукции;
- размещение и развитие производительных сил на территории страны;
- степень специализации производства;
- система организации снабжения и сбыта;
- уровень развития других видов транспорта;
- качество организации эксплуатационной работы;
- увеличение внешней торговли.
Связь между объемом производства в экономике страны и показателями грузовых перевозок отражают коэффициент перевозимостиикоэффициент транспортоемкости продукции. Коэффициент перевозимости определяется отношением объема перевозок i-го груза к объему его производства в целом:

где ∑Рi — объем перевозок i-го груза, т;
∑Qi— объем производства i-го груза, т.
Коэффициент перевозимости, рассчитанный по одному виду транспорта, обычно меньше единицы, поскольку не все, что было произведено, поступает в перевозку. С другой стороны, если груз специфичен и перевозится несколько раз, коэффициент может быть больше единицы. Если же определять этот коэффициент по всем видам транспорта страны, он будет значительно больше единицы, поскольку характерной для российской экономики особенностью является перевозка одного и того же груза различными видами транспорта.
Коэффициент транспортоемкости продукции выражает отношение грузооборота того же i-го груза к объему его производства в целом:

где ∑Pli— грузооборот i-го груза, т-км.
Данные коэффициенты рассчитывают как для отдельных родов грузов, так и по самостоятельным видам транспорта. Чем выше значение коэффициентов, тем больший объем перевозок и на более дальнее расстояние приходится осуществлять транспортировку грузов.
Грузовые перевозки характеризуются неравномерностью во времени и по направлению.
По времени неравномерность может быть по периодам года, по дням месяца, по часам суток. Неравномерность перевозок по времени связана с сезонным производством и потреблением многих видов продукции, неритмичной работой предприятий-грузовладельцев, наличием выходных и праздничных дней.
Неравномерность перевозок во временихарактеризуется коэффициентом неравномерности.Он может рассчитываться как отношение максимального месячного объема перевозок к среднемесячному за год:

отношением объема перевозок каждого месяца к среднемесячному:

а также отношением максимального месячного объема перевозок к минимальному:

Коэффициент неравномерности всегда больше единицы
Кнер > 1.
Объем перевозок по кварталам неодинаков – обычно он минимален в первом квартале, максимален во втором и находится на среднегодовом уровне в третьем. Помесячный объем перевозок также неравномерен: минимум наблюдается в январе-феврале, максимум – в апреле, октябре, декабре. Однако по родам грузов эти закономерности могут не выполняться.
Неравномерность перевозок отрицательно отражается на показателях использования подвижного состава. Возникает необходимость в резервах провозной способности и в содержании дополнительного штата работников.
В связи с территориальным размещением потребителей и поставщиков в разных регионах, специализацией производства, на транспорте возникает неравномерность по направлениям (груженое и порожнее направления) .
Неравномерность перевозок по направлениям характеризуется коэффициентом обратности, который определяют как отношение объема перевозок грузов в порожнем направлении к объему перевозок грузов в груженом направлении:
КОБР = ∑РПОР /∑РГР < 1.
При этом груженым направлением принято называть направление с преобладающим (большим) грузопотоком, обратное направление (с меньшим грузопотоком) называется порожним.
Неравномерность перевозок по направлению связана со специализацией и кооперацией экономики в масштабе народного хозяйства и характером размещения производства и потребления. Районы страны, специализирующиеся на добывающей промышленности или на масштабном сельскохозяйственном производстве, вывозят больше грузов, чем ввозят и, наоборот, центры перерабатывающей промышленности и крупные города ввозят больше, чем вывозят. Чем больше неравномерность перевозок по направлению, тем больше порожний пробег вагонов и эксплуатационные расходы железных дорог.
Сглаживание неравномерности перевозок — одна из важнейших задач железнодорожного транспорта. Решать ее можно по-разному, однако, как показывает практика, наиболее действенными в этом случае являются экономические меры, например, снижение тарифов в порожнем направлении.
Качественные показатели перевозки грузов
Количество отправок— специфический показатель транспорта. Отправкойназывается партия груза, оформленная одним перевозочным документом (дорожной ведомостью). Одной отправкой может быть целый состав, следующий от одного отправителя к одному получателю, а может быть один ящик. В первом случае мы имеем дело с маршрутнойотправкой, а во втором — с мелкой. Кроме названных, различают повагонные и контейнерныеотправки, определение которых вытекает из названия.
Средняя скорость доставки грузовопределяется отношением расстояния, пройденного грузом (∑l) к времени доставки этого груза (∑tд), км/сут.:
.
Средняя статическая нагрузкана вагон показывает количество тонн груза, приходящееся в среднем на каждый вагон во время погрузки, т:
,
где
- удельный вес i – го типа подвижного состава;
- техническая норма загрузки i – го типа подвижного состава.
Средняя дальность перевозки грузов (
) является одним из важнейших показателей работы железных дорог, который влияет на грузооборот, скорость доставки грузов, показатели использования подвижного состава, эксплуатационные расходы и доходы.
Средняя дальность перевозки— это расстояние, на которое перевозится каждая тонна груза в среднем, т.е. среднее расстояние, пройденное грузом от станции отправления до станции назначения. Средняя дальность перевозки для сети железных дорог определяется как отношение грузооборота нетто (∑РlН) к объему перевозок (∑Р), км:

Средняя дальность перевозки для отдельной железной дороги отражает перемещение груза в ее границах во всех видах сообщения и определяется по-иному:

При планировании средней дальности перевозки грузов, необходимо учитывать влияющие на этот показатель факторы:
- размещение ресурсных и производственных мощностей экономики страны по ее территории;
- уровень специализации и кооперации в производстве;
- географию производства и потребления;
- характер взаимосвязей между производителями и потребителями продукции;
- структуру распределения грузовых перевозок между различными видами транспорта.
Средняя густота перевозок (грузонапряженность) характеризует интенсивность грузового потока отдельных участков и подразделений железной дороги.
Среднюю густоту перевозок по направлению, дороге или сети железных дорог в целом определяют как частное от деления грузооборота (∑РlН) на соответствующую эксплуатационную длину (Lэ), т-км / км:

Средняя продолжительность доставки груза определяется отношением расстояния, пройденного грузом (∑l) к скорости доставки данного груза (Vд), сут.:
.