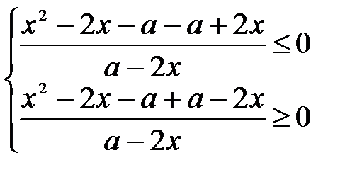
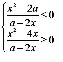
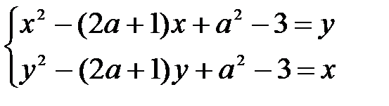
С5. Найдите все значения параметра а, при каждом из которых имеет единственное решение (x;y) система уравнений
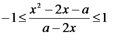
А 0 2
Только при а<0 отрезок [0;2] является решением второго неравенства

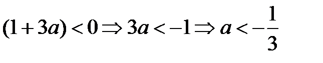
При a < 0
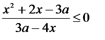
3a-4x < 0
Значит числитель дроби 

Если D<0
, то квадратичное неравенство
( а > 0 D < 0) выполняется при всех x
При 
В данном неравенстве решение будем помечать «синим цветом»
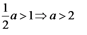
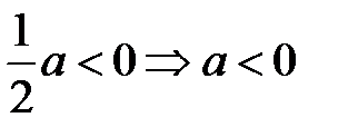
3/4a 0
При 
Корни квадратного трехчлена, стоящего в знаменателе

3/4а 2
О расположении чисел
3/4а
при 
Можно доказать или «прикинуть»
Теперь совместим решения первого и второго неравенства, для получения неравенства системы
При 
А 0 2
3/4a 0
Общим решением системы является Отрезок [0;2]
При 
¾ а 0 2
3/4a 0 2
Общим решением системы будет 
Обобщим исследование
K – решение исходного неравенства
При 

При 

Ответ : 
В последнем варианте было предложено следующее задание:
С чего начали тем и закончили. А то что было в середине рассмотрено далее.
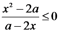
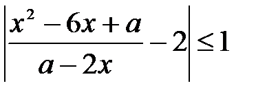
С5. Найдите все значения параметра а, при каждом из которых множеством решений неравенства
справедливо при всех значениях x из отрезка [0;1].
В чем разница с первой задачей. Не только в самом неравенстве и отрезке, но и в вопросе задаче. При переводе с русского языка на язык математики.
Найти все значения a , множество решений нашего неравенства K «шире» чем отрезок [0;1] или 






Решим второе неравенство методом интервалов
Корни числителя и знаменателя x=0 ; x=4 x=1/2 а
Если 
Красными отрезками отметим решение неравенства
0 1 1/2а 4
Если 
Красными отрезками отметим решение неравенства
0 1/2а 1 4
Если 
Красными отрезками отметим решение неравенства
А 0 4
Только при а<0 неравенство справедливо при всех значениях x из отрезка [0;1]
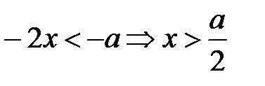
Первое неравенство
рассмотрим только при а <0
Неравенство
при a<0 при всех х верно
Тогда a- 2x < 0
является решением неравенства
1/2a 0
Отрезок [0;1] при a<0 входит в решение первого неравенства
Ответ: a<0
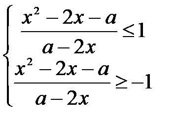
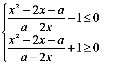
С5. Найдите все значения параметра а, при каждом из которых имеет единственное решение (x;y) система уравнений

После того как «набил» первое уравнение системы, я его скопировал во второе уравнение и x заменил на у и у заменил на х.
Если система имеет решение (x0;y0) и x0 ¹ y0 тогда она будет иметь и решение (y0;x0) в силу симметричности уравнений.
Если система имеет единственное решение, то x0 = y0
Тогда любое из уравнений будет иметь вид


Чтобы данное уравнение имело единственное решение




Ответ: a = -2