Калибровка компасов
Компас реагирует на векторную сумму магнитного поля Земли и всех накладывающихся на него полей. В зависимости от силы последних значительно понижается точность компаса. Индуцированный магнетизм в железистых сплавах, таких как железо или сталь ("мягкое железо"), находящихся вблизи компаса, влияет на окружающее магнитное поле, также как и объекты, обладающие остаточным магнетизмом ("твердое железо"). Даже автомобильные динамики и статический разряд от нейлоновой одежды могут повлиять на точность показаний компаса. Следовательно, то направление, которое указывает компас, называется север компаса, и в общем случае оно отличается от направления на северный магнитный полюс. Эта разница в градусах называется девиацией магнитного компаса. Если действие накладывающегося поля постоянно, то компас можно откорректировать или калибровать так, чтобы он учитывал влияние этого поля.
Традиционный компас, зафиксированный на какой-либо платформе (например, на корабле), можно настроить так, чтобы он компенсировал магнитное отклонение. Для этого необходимо разместить небольшие магнитики и/или кусочки железистого материала в определенных местах вокруг компаса. Такая настройка компаса может оказаться сложной и долгой. Также компас можно легко калибровать, просто отмечая ошибки компаса по ряду заранее известных направлений. Такой метод называется “колебанием компаса”. Электронные компасы тоже необходимо калибровать для исправления отклонений и других возможных ошибок, таких как масштабный коэффициент и ошибки при несовпадении осей. Хотя метод “колебания компаса” также представляется возможным использовать при калибровке электронных компасов, но здесь есть несколько основных недостатков. Во-первых, для данного метода требуется заранее знать точные направления, что может быть не всегда легко доступно. Во-вторых, отклонение частично зависит и от силы локального геомагнитного поля. Если калибровка производится на одном месте, она может оказаться неприемлемой на другом. В-третьих, данный метод не подходит, если электронный компас состоит из трех ортогональных датчиков.
Исследователями из Стэнфордского университета был разработан альтернативный метод, который не зависит от направления опоры компаса и местоположения объекта. Метод калибровки основывается на том, что все точки, в которых измерения безошибочны, при двух перпендикулярно закрепленных датчиках, образуют круг. Таким образом, при вращении модуля с датчиками по кругу, выходной сигнал обоих датчиков должен представлять собой синусоидальную волну одинаковой величины, причем фаза одного выходного сигнала должна отличаться от фазы другого на 90 градусов. Если BH – это величина горизонтальной составляющей геомагнитного поля, Bx и By ,– горизонтальные составляющие в системе отсчета, связанной с носителем компаса, например, автомобилем, а Y – направление машины, то

Это уравнение окружности с центром в начале условной системы координат опоры. Радиус окружности равен горизонтальному компоненту локального геомагнитного поля. Обычно его можно вычислить с помощью одной из моделей глобального поля. Влияние отклонений и других ошибок будет видоизменять круг, меняя его форму и/или местоположение его центра.
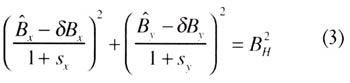
Воздействие элементов “твердого железа” добавляет константу к величине поля вдоль каждой оси выходного сигнала датчиков, что приводит к смещению центра окружности, в то время как влияние “мягкого железа” и масштабные ошибки датчиков превращают окружность в эллипс. В конечном счете получается эллипс со смещенным центром, представленный уравнением:

где Bx и By – это выходные сигналы датчиков, dBx и dBy – это смещения геомагнитного поля, вызванные влиянием “твердого железа”, а sx и sy – это масштабные коэффициенты для учета ошибок масштабирования датчиков и влияния “мягкого железа”. Считается, что ошибка выравнивания датчиков не существует (датчики ортогональны и расположены в горизонтальной плоскости). Если такая ошибка имеет место, то эллипс будет вращаться таким образом, чтобы его оси не будут параллельны привязанным к корпусу осям x и y. В уравнении 3 содержатся четыре неизвестных величины. Эти величины могут быть вычислены с помощью нелинейного математического метода, используя измерения, полученные при вращении модуля с датчиками в горизонтальной плоскости. Нет необходимости вращать модуль на все 360 градусов, но чем больше сегмент испытания эллипса, тем меньше влияние измерительных помех. На практике, в зависимости от чувствительности модуля может потребоваться один или два полных поворота для правильной калибровки компаса. После одного вычисления значения параметров могут быть сохранены в памяти и использованы для поправки последующих измерений компаса.
Обычно данный или какой-либо другой метод калибровки включается в контроллер микропроцессора коммерческих компасных модулей, также как и в GPS приемниках со встроенным компасом. Для конкретного прибора рекомендуется проводить калибровку вдалеке от металлических объектов. В этом случае необходимо будет учитывать только масштабирование и магнитное влияние самого корпуса.
Калибровка может быть применена и для систем трех ортогональных друг другу датчиков. В таком случае вычисляются параметры эллипсоида, а модуль с датчиками должен вращаться и в горизонтальной, и в вертикальной плоскостях.
Некоторые электронные компасы имеют функцию самокалибровки. Внутри прибора создается маленькое магнитное поле и оно изменяется под управлением процессора. Реакция на изменение поля используется для калибровки компаса.