Определение фактической нагрузки на технику
Значительное уменьшение государственной поддержки агропромышленному комплексу, высокий диспаритет цен, непомерный рост инфляции, огромные объемы списания машин за последние 10 лет, как уже отмечалось, привели к существенному уменьшению количества техники на селе. Это привело к резкому увеличению нагрузок на тракторы и сельскохозяйственную технику.
Нагрузка на технику (Sфi) определяется путем деления объема работ (Sni), предусмотренного агротехническими требованиями, на количество (Ni) машин, имеющихся в наличии для выполнения этих работ:
(2.9)
где Sni — объемы сельскохозяйственных работ, выполняемых i-м ко личеством машин, га;
Ni - количество машин задействованных в выполнении 1-х объемов сельскохозяйственных работ, шт.
Чтобы оценить полученные значения нагрузок, необходимо сравнить фактические нагрузки с нормативными (Sнi). Если результат соотношения Sфi : Sнi; находится в пределах 0,9∑1,1, уровень нагрузки следует считать оптимальным. Если соотношение превышает 1,1, необходимо принимать меры по увеличению количества машин, если меньше 0,9, следует уделить внимание повышению эффективности использования техники.
Пример. Требуется обработать 10 000 га пашни и убрать 8000 га зерновых. В наличии имеется 90 тракторов и 40 зерноуборочных комбайнов. Нормативная годовая нагрузка на 1 трактор составляет 70, а на 1 зерноуборочный комбайн — 130 га. Определить среднюю нагрузку на каждую из этих машин.
Определяем фактическую нагрузку на тракторы:

Определяем коэффициент, характеризующий отношение фактической нагрузки к нормативной:

1,59 > 1,1, то есть парк тракторов следует увеличивать до:

Тогда средняя нагрузка на трактор составит:

Определяем фактическую нагрузку на зерноуборочные комбайны:

Определяем коэффициент, характеризующий отношение фактической нагрузки к нормативной:

1,54 > 1,1, то есть парк зерноуборочных комбайнов также следует увеличивать до:

Тогда средняя нагрузка на зерноуборочный комбайн составит:

Определение энергообеспеченности и энерговооруженности в сельском хозяйстве
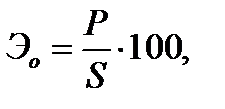
ЭнергообеспеченностьЭо — это соотношение мощности энергетических средств и площади обрабатываемых сельскохозяйственных земель (кВт (л. с.)/100 га):
(2.10)
где Р - суммарная мощность энергетических средств, задействованных в выполнении сельскохозяйственных работ, кВт (л. с);
S - площадь обрабатываемых сельскохозяйственных земель, 100 га.
ЭнерговооруженностьЭд — это соотношение мощности энергетических средств и числа работающих в сфере сельскохозяйственного производства (кВт (л. с.)/1 работника):
(2.11)
где Н - число работающих в сфере сельскохозяйственного производства, чел.
Это два важнейших показателя, которые наиболее точно и емко характеризуют уровень механизации в сельском хозяйстве.
К сожалению, за последние 10 лет оба показателя в нашей стране уменьшились более чем в два раза, а в сравнении с такими же показателями развитых стран Запада составляют лишь 30—40 %, например, в сравнении с Германией (рис. 2.13). К сожалению, тенденция ухудшения этих показателей сохраняется и в настоящее время.
Пример. Суммарная мощность энергетических средств составляет Р = 50 тыс. л. с, обрабатываемая площадь 5 = 10 000 га, численность работающих Н = 700 человек.
Требуется определить энергообеспеченность (Эо) и энерговооруженность (Эв) данного хозяйства. Определяем энергообеспеченшость:

определяем энерговооруженнесть:
Методика расчета обеспеченности техникой в сельском хозяйстве
В практических целях более удобным критерием определения уровня механизации является показатель обеспеченности техникойв соответствии с нормативами.
Методика расчета обеспеченности техникой в сельском хозяйстве
В практических целях более удобным критерием определения уровня механизации является показатель обеспеченности техникойв соответствии с нормативами.

Рис. 2.13. Энергообеспеченность и энерговооруженность в сельском хозяйстве России, США и Германии
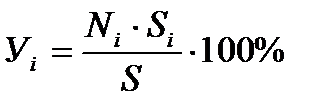
Учитывая нормативную нагрузку на одну машину, уровень обеспеченности (У) тем или иным видом техники в общем случае определяется по формуле:
(2.12)
где Ni — количество машин i-ого вида в составе парка, ед.;
Si— нормативная нагрузка на i-ый вид машины, га;
S - обрабатываемая площадь, га.
Эта формула будет справедливой, если средневзвешенный «возраст» парка машин не превышает 70 % среднего срока их службы. В противном случае следует учитывать поправочный коэффициент (Кп) (см. рис. 2.8), который позволит сделать поправку на фактическую надежность, а, следовательно, и обеспеченность i-м видом техники.
В настоящее время многие специалисты оценивают уровень обеспеченности техникой, не учитывая ее техническое состояние и относительно фактически обрабатываемых площадей.
В этой связи необходимо в формулу (2.12) ввести также и поправочный коэффициент (К), характеризующий уровень использования пахотных земель:
(2.13)
где Sо — фактически обрабатываемая площадь, га;
Sи — наличие пахотных земель, га.
2. Состояние производственно-технической базы АПК
В настоящее время этот коэффициент в среднем по стране находится в пределах 0,67—0,75.
С учетом вводимых коэффициентов, формула (2.12) примет вид:
(2.14)
Такая оценка уровня обеспеченности техникой будет более объективной и соответствовать фактическому уровню механизации в сельском хозяйстве. И, возможно, государство обратит внимание на необходимость серьезной поддержки на приобретение новой техники.
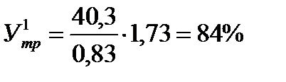
Пример. На 10 000 га обрабатываемых земель при наличии 12 000 га имеется в наличии 120 тракторов, средний «возраст» которых 12 лет (при сроке службы 14 лет). Требуется определить обеспеченность тракторами данного хозяйства.
Коэффициент Кн определяется по номограмме (рис. 2.8) и равняется 1,73.
Определяем коэффициент, характеризующий уровень использования пахотных земель:

определяем уровень обеспеченности хозяйства тракторами:

Если не учитывать «возраст» парка тракторов и фактическое наличие площадей пахотных земель, то уровень механизации будет выглядеть иначе:

Комплексная оценка уровня механизации, представленная в данной методике, позволяет более объективно оценить этот важнейший показатель.
Чтобы оценка показателя уровня механизации была более наглядной, следует проводить анализ за несколько предшествующих лет. Кроме того, это позволит выявить тенденции изменения этого показателя, определить причины изменений, а, следовательно, подготовить предложения по повышению уровня механизации в сельском хозяйстве. Если оценивается уровень механизации в регионе или в хозяйстве, необходимо проводить сравнительный анализ эгого показателя в соседних регионах (хозяйствах).
По каждому разделу анализа следует делать основные выводы, а по итогам полного анализа. - общие выводы и предложения.
Контрольные вопросы
1. Назовите основные причины спада производства в АПК РФ.
2. Дайте характеристику ценообразования на сельскохозяйственную ' и промышленную продукцию.
3. Какой уровень государственной поддержки АПК в нашей стране и за рубежом?
4. Перечислите основные источники обновления средств производства.
5. Назовите основные показатели уровня механизации в сельском хозяйстве.