Спрос на денежные средства.
Тема 8. Денежный рынок. Денежно-кредитная политика.
1. Спрос на денежные средства.
Модель Баумоля - Тобина как инструмент для управления наличностью.
Предложение денег.
Равновесие на денежном рынке.
Основные инструменты воздействия Центробанка на денежно-кредитную сферу.
Спрос на денежные средства.
Спрос на деньги – это потребность в определенном запасе денег, который определяется как количество платежных средств, которые население и фирмы хотят держать в ликвидной форме, т.е. в форме наличности и чековых депозитов (кассы).Спрос на деньги – это всегда спрос на блага, которые можно на них купить.
Держание наличности лишает рыночных агентов возможности иметь доход от других видов имущества (акции, облигации, недвижимость), а значит, порождает для них соответствующие альтернативные издержки. Поэтому спрос на деньги определяет ту часть активов, которую фирмы и домохозяйства хотят иметь в виде наличности, а не в виде акций, облигаций, недвижимости, производственного оборудования и т. д. Это реальный спрос на деньги.
Спрос на деньги вытекает из двух функций денег – средство обращения исредство сохранения богатства.
Существуют различные теоретические модели спроса на деньги:
1) классическая теорияспроса на деньги;
2) кейнсианская теорияспроса на деньги;
3) монетаристская теорияспроса на деньги.
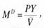
1. Классики определяют спрос на деньги на основе уравнения обмена количественной теории денег: MV = PY. Поэтому спрос на деньги (MD — money demand) равен:

|
То есть спрос на деньги определяется уровнем денежного или номинального валового национального продукта. Чем больше доход в обществе, чем больше совершается сделок, чем выше уровень цен, тем больше потребуется денег для реализации экономических сделок в рамках национальной экономики. С определенным упрощением можно сказать, что трансакционный (операционный) спрос на деньги не зависит от ставки процента, и тогда графическое отображение спроса на деньги для сделок будет выглядеть следующим образом (рис. 8.1).
Таким образом, классики под спросом на деньги понимали только трансакционный спрос, т. е. спрос для совершения сделок.
2. Дж. М. Кейнс выделил три мотива,порождающие спрос на деньги:
1) трансакционный мотив;
2) мотив предосторожности;
3) спекулятивный мотив.
Трансакционный мотив,так же как и у классиков – это спрос для осуществления запланированных покупок и платежей.
Мотив предосторожности– это желание хранить наличные деньги для непредвиденных обстоятельств (болезнь, несчастные случаи, колебания цен на рынке, возможность совершить очень выгодную покупку и т.д.). В сущности, этот мотив является разновидностью трансакционного спроса. Мотив предосторожности противоречив: с одной стороны, индивид может потерять возможность иметь выгоду от совершения сделок, если он не сможет быстро получить наличные деньги, а с другой – чем больше он хранит денег на случай непредвиденных обстоятельств, тем больший процент он теряет, не вкладывая деньги в ценные бумаги, приносящие процент.
Спекулятивный мотив(спрос на деньги как на имущество) – это часть общего спроса на деньги определяется желанием людей сохранить свое имущество или накопить его. Этот вид спроса на деньги связан с их функцией сохранения богатства, а не с функцией средства платежа.
Держание ликвидности (кассы) домашними хозяйствами и фирмами для приобретения в удобный момент иных финансовых активов в целях сохранения или преумножения богатства получило название спроса на деньги со стороны активов, или спекулятивного, поскольку в данном случае деньги используются для увеличения дохода путем перепродажи финансовых активов. Если процентная ставка низка, то нет большого смысла менять наличные деньги на другие финансовые активы – срочные депозиты, облигации и т.п., так как альтернативные издержки держания наличности невелики. При низкой процентной ставке курс облигаций высокий и рыночные агенты будут воздерживаться от покупки ценных бумаг.
|
Таким образом, спрос на деньги со стороны активов, или спекулятивный спрос, зависит от уровня процентной ставки i и эта зависимость обратная: при понижении процентной ставки спекулятивный спрос на деньги возрастает, а при повышении – сокращается.
|
Графически линия спекулятивного спроса на деньги выглядит как кривая с отрицательным наклоном (рис. 8.2.).
Спекулятивному мотиву хранения денег Кейнс придавал ключевую роль в своей теории предпочтения ликвидности,ибо в условиях неопределенности и риска на финансовом рынке спрос на деньги во многом зависит от уровня доходов по облигациям. Если индивид полагает, что будущая норма процента будет выше в сравнении с ожидаемой большинством участников рынка, то следует хранить свои сбережения в денежной форме и не приобретать облигации, поскольку рост нормы процента вызовет снижение курса облигации. Если же индивид полагает, что нынешняя высокая норма процента снизится, то следует ожидать роста курса облигаций и можно поместить свои средства в облигации.
Таким образом, по Кейнсу, совокупный спрос на деньги (L) — функция двух переменных:
а) дохода;
б) процентной ставки.
L=L(Y,i), которые обусловлены трансакционным и спекулятивным спросами на деньги.