Алгоритм решения задач на применение закона сохранения импульса
• Понять предложенную задачу (увидеть физическую модель).
• Анализ (построить математическую модель явления):
• Выбрать систему отсчета.
• Выделить систему взаимодействующих тел и выяснить, какие силы для нее являются внутренними, а какие – внешними.
• Определить импульсы всех тел системы до и после взаимодействия.
• Если в целом система незамкнутая, сумма проекций сил на одну из осей равна нулю, то следует написать закон сохранения лишь в проекциях на эту ось.
• Если внешние силы пренебрежительно малы в сравнении с внутренними (как в случае удара тел), то следует написать закон сохранения суммарного импульса (
p = 0) в векторной форме и перейти к скалярной.
• Если на тела системы действуют внешние силы и ими нельзя пренебречь, то следует написать закон изменения импульса
(
p = F
t) в векторной форме и перейти к скалярной.
• Записать математически все вспомогательные условия.
• Полученную систему уравнений решить относительно искомой величины импульса.
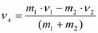
Пример задачи. Снаряд массой 100 кг, летящий горизонтально вдоль железнодорожного пути со скоростью 500 м/с, попадает в вагон с песком массой 10 т и застревает в нём. Найти скорость вагона, если он двигается со скоростью 36 км/ч навстречу снаряду.
Решение.
Дано: СИ Решение:
m1=100 кг
V1=500 м/c
m2=10 т =10000кг
V2=36 км/ч =10 м/с
V-?
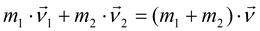
Считая удар неупругим, запишем закон сохранения импульса:




Ответ:Vx = -4.9 м/с.
Графические задачи