Оценка дальности и качества радиосвязи
В процессе выполнения организационно-технических мероприятий, обеспечивающих надежность действия радиосредств, возникает необходимость решения некоторых задач: выбор направления предполагаемой радиотрассы и ее дальности, определение типов и моделей радиосредств, расчет необходимых высот стационарных антенных опор пунктов приема и передачи и др. [1].
Несколько последних десятилетий системы радиосвязи развиваются в различных направлениях. Требования к качеству радиосвязи и диапазону предоставляемых услуг растут день за днем. Чтобы обеспечить качественные и эффективные по стоимости решения, необходимо оптимально проектировать системы радиосвязи с самых первых этапов их жизненного цикла.
В области разработки и проектирования систем мобильной связи возникают задачи оценки характеристик радиосредств при работе по радиоканалу. Для решения этого круга задач оценивают характеристики систем, заменяя реальную среду распространения радиосигнала адекватной моделью.
Оценка дальности и качества радиосвязи в общей ведомственно-территориальной системе связи необходима для расчета параметров радиотрасс при организации радиосвязи, т.е. при построении или развитии системы радиосвязи. В связи с этим следует учитывать следующие обстоятельства:
Во-первых, практически все радиооборудование беспроводных сетей, используемое в подразделениях МЧС, работает в диапазоне УКВ или ДМВ. Такие волны распространяются вдоль прямой линии, соединяющей антенны и называемой линией визирования. Из этого следует, что препятствия не должны закрывать эту виртуальную линию, хотя на практике допускается небольшое перекрытие этой линии препятствиями. Не следует забывать, что Земля круглая, поэтому даже в степи, при абсолютно ровной поверхности, чтобы обеспечить прямую видимость, антенны требуется поднимать выше.
Во-вторых, необходимо обеспечить такие значения параметров радиолинии, чтобы мощность полезного сигнала на входе приемника была равна или немного превышала значение реальной чувствительности этого приемника. Если это условие не выполняется, связи не будет. Слишком большое превышение - это как правило неоправданные эксплуатационные затраты, кроме того, увеличивается риск создания помех другим радиосредствам, работающим в том же диапазоне. Для расчета мощности полезного сигнала на входе приемника необходимо знать энергетические параметры радиолинии (характеристики передатчика, приемника, антенн, всевозможные потери сигнала и др.).
В-третьих, часто расчеты в радиотехнике ведутся в децибелах. Для перевода в децибелы необходимо взять десятичный логарифм числа и умножить его на 10. Например, 106 будет равно 60дБ, а 10-3 соответствует -30дБ. Преимущества использования этой единицы измерения состоят в том, что вместо умножения исходных чисел достаточно сложить значения в децибелах, а для деления - вычесть из делимого делитель, также выраженные в децибелах. Кроме того, нет необходимости писать большое количество нулей или использовать показатели степени. И еще одна тонкость. Часто можно встретить не просто дБ, а например дБ/м и др. Буквы после дБ означают ту единицу, по отношению к которой берется децибел. Так, дБ/м - это децибел к метру, например, погонное затухание коаксиального кабеля составляет 0,08 дБ/м, следовательно, кабель длиной 20 метров вносит ослабление сигнала 1,6 дБ.
В-четвертых, следует учитывать, что в радиосвязи могут использоваться радиостанции с разными техническими характеристиками, поэтому все расчеты ведутся для худшего варианта. Для много интервальной линии расчеты ведутся отдельно для каждого интервала.
Влияние среды на распространение радиоволн проявляется в изменении (большей частью уменьшении) амплитуды поля волны, изменении направления распространения волны, в повороте плоскости поляризации волны, в искажении передаваемых сигналов. В связи с этим при исследовании распространения радиоволн возникают следующие основные задачи:
· Расчет энергетических параметров радиолинии - выбор мощности передающего устройства и определение мощности сигнала на входе приемного устройства; определение оптимальной рабочей волны при заданных условиях распространения определение истинного направления прихода сигнала;
· Изучение возможных искажений передаваемого сигнала и разработка мер по их устранению.
Для решения этих задач необходимо учитывать электрические свойства поверхности и атмосферы Земли и космического пространства, а также физические процессы, происходящие при распространении радиоволн.
Дальность радиосвязи зависит от большого числа факторов (используемый частотный диапазон, рельеф местности, высота установки антенн, электромагнитная обстановка и т.д.) и может быть точно определена только экспериментальным путем.
В целом, дальность радиосвязи (при соответствующем качестве) зависит от двух следующих основных групп факторов: условий распространения радиоволн (рельеф местности, климатические условия, мощность индустриальных помех и т.д.) и параметров радиосредств, применяемых для организации радиосвязи. При этом следует иметь ввиду, что степень влияния различных факторов (даже факторов входящих в одну группу) неодинакова. Например, пропорционально уменьшив мощность передатчика радиостанции и улучшив чувствительность приемника, при неизменных других условиях получим качество связи (отношение сигнал/шум) отличное от первоначального, и затруднительно сказать (без расчетов) со знаком « + » или « – » будет это отличие.
Так как условия распространения радиоволн по естественным трассам определяются многими факторами, поэтому полный их анализ оказывается слишком сложным. В связи с этим в каждом конкретном случае строят модель трассы распространения радиоволн, выделяя те факторы, которые оказывают основное воздействие.
Методика расчета параметров радиотрасс зависит от назначения и условий функционирования данной линии. Поэтому расчет параметров радиолинии между населенными пунктами, расположенными на значительном расстоянии друг от друга будет несколько отличаться от расчета, проводимого для организации радиосвязи в городских условиях.
Рис. 3.13. Расчет дальности прямой видимости
|
,
где Re – радиус Земли.
С учетом очевидного неравенства h << Re получаем:
и 
Таким образом, для предельного расстояния прямой видимости получается следующая формула:

Если высоты антенн выразить в метрах, то расстояние прямой видимости формула примет вид:

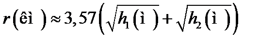
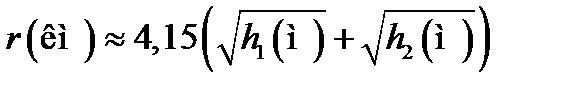
Рефракция радиоволн в атмосфере приводит к увеличению расстояния прямой видимости (r):
,
где h1 и h2 – высоты приемной и передающей антенн.
В зависимости от расстояния между передающей и приемной антеннами (D) различают следующие зоны при распространении радиоволн вдоль земной поверхности: освещенная зона
; зона полутени
; зона тени
.
Если на трассе между антеннами есть неровности, можно построить профиль трассы с учетом сферичности Земли. Делается это так. По величине требуемой дальности определяется величина подъема Земли в центре трассы (Y) и на лист бумаги наносятся три точки: с нулевой высотой на концах трассы и с высотой в центре трассы (А, В и С) (рис. 3.14). Через эти точки строится дуга окружности, являющаяся уровнем моря для построения трассы. На эту дугу в выбранном масштабе переносятся с топографической карты точки уровней высот над уровнем моря с учетом точки нулевого уровня. Полученные точки соединяются линией, в результате получается профиль трассы. В нулевых точках А и С в том же масштабе наносятся высоты расположения антенн. По рисунку определяется наличие прямой видимости между антеннами радиостанций. В случае отсутствия прямой видимости следует одну или обе антенны разместить на других высотах или увеличить высоты мачтовых устройств и построить новый профиль трассы.

Рис. 3.14. Профиль трассы одного интервала радиолинии
Определение высоты подъема земли в центре трассы (и любой другой точке) относительно нулевой точки осуществляется типовыми методами. Для этого можно использовать графики или таблицы, показывающие зависимость величины подъема земли (относительно точки установки антенны) от расстояния до места расположения антенных устройств или воспользоваться зависимостью:
,
где Y - относительная высота подъема земли в рассчитываемой точке; D - расстояние между антеннами; Rе - радиус Земли (≈ 6370 км); К = Di / D - относительная координата точки подъема.
А как быть, если на трассе имеется, допустим, гора и антенны из-за этого необходимо поднимать на высоту Останкинской телебашни? Естественно, поставить на горе ретранслятор и рассчитывать две трассы: до ретранслятора и после него. Так же следует поступить и при протяженности трассы более 50 км.
Выбранные высоты установки антенн обеспечивают условия распространения радиоволн, близкие к условиям распространения радиоволн в свободном пространстве, что дает возможность пользоваться достаточно простой методикой расчета. Следует подчеркнуть, что антенны необходимо устанавливать на такой высоте не для того, чтобы можно было применять простую методику расчета, а чтобы с помощью маломощной радиолинии обеспечить передачу сигналов на значительные расстояния.
Следующим этапом расчета является определение так называемой энергетики линии, зависящей от параметров радиосредств и ослабления сигнала при распространении.
Приближенная формула для оценки дальности радиосвязи УКВ диапазона, учитывающая параметры радиостанций выглядит так:
,
где h1 и h2 - высоты поднятия приемной и передающей антенны, м; P - мощность передатчика, Вт; R - входное сопротивление приемника, Ом; δ - коэффициент полезного действия передающей антенны, U - чувствительность приемника, мкВ.
Данная формула позволяет лишь оценить влияние различных параметров радиостанций на дальность радиосвязи, т.к. действительна при отсутствии на входе приемника мешающих сигналов или помех, а, давая оценку дальности радиосвязи, нужно учитывать условия, при которых обеспечивается радиосвязь. В реальности дальность связи с учетом рельефа местности и помех электромагнитного характера в несколько раз меньше (иногда на порядок) величины, полученной из вышеприведенной формулы.
Расчет ослабления радиоволн на трассе со сложным профилем является многофакторной задачей, поэтому для проведения практического расчета радиотрасс используются приближенные формулы, позволяющие оценить влияние рельефа местности на параметры радиотрассы.
Даже для трасс с одиночным препятствием результаты измерений и расчетов ослабления нередко расходятся. Как правило, расчетное ослабление получается больше, чем измеренное. Расхождение возрастает с увеличением ослабления и частоты, достигая на сантиметровых волнах больших значений. Вероятно, что это связано с небольшими неровностями вершин препятствий и их несферической формой. Особенно такое различие проявляется в горной местности, где вершины чаще бывают клиновидными, чем округлыми.
На реальных трассах, проходящих над среднепересеченной местностью, на которых ослабление не слишком велико, углы дифракции обычно менее 50, а радиус кривизны каждого препятствия много меньше земного радиуса. При этих условиях дифракционные потери (β) (относительно свободного пространства) могут быть рассчитаны по формуле:
,
где
– длина трассы, км;
и
– расстояния от конечных точек трассы до пересечения касательных к препятствию, км; f - частота, ГГц;
- угол дифракции, рад;
; 
Полное дифракционное ослабление на трассе с несколькими препятствиями складывается из ослаблений на каждом препятствии. Следует, конечно, учитывать взаимное влияние соседних препятствий. Однако для реальных препятствий отсутствуют какие-либо приемлемые оценки степени такого влияния.
При построении системы радиосвязи, например, в городских условиях, расчет производится по устойчивости радиосвязи. Для устойчивой радиосвязи напряженность электрического поля в точке приема должна иметь такое значение, при котором на входе радиоприемного устройства создавалось напряжение, соответствующее его чувствительности. Напряженность электрического поля в точке приема можно определить по формуле:
,
где Pи – мощность излучения передающей антенной; σ – коэффициент направленного действия передающей антенны; λ – длина волны; D – расстояние между антеннами; h1 и h2 – высоты поднятия приемной и передающей антенны; К – коэффициент, учитывающий особенности рельефа местности.
Устойчивая радиосвязь обеспечивается при превышении значения напряжённости поля полезного сигнала (Емин) над полем помех не менее чем на 12 дБ (соотношение сигнал/шум определяется техническими возможностями современных радиостанций). Значение напряженности поля помех для города колеблется от 1 до 10 мкВ/м, для сельской местности - от 0,2 до 1,5 мкВ/м. Следует заметить, что данная формула применима для расчета напряженности поля в пределах прямой видимости. На больших расстояниях интерференционная картина нарушается, и пользоваться данной формулой нельзя.
Для реальных расчетов можно использовать следующую методику. Т.к. расчеты ведутся в основном для стационарных радиостанций, то расстояние принимается как заранее определенное, обусловленное расположением стационарных пунктов связи. Расчет сводится к определению высот подъема антенн, при котором энергетическая характеристика радиолинии (напряженность поля в точке приемаЕр) будет удовлетворительной:
Ер = Рпер + G1 + G2 – Косл– Еп – ∆Едоп ≥ Емин
В данном неравенстве со знаком «+» берется мощность передающего устройства (Рпер), коэффициенты усиления передающей (G1) и приёмной (G2) антенн. Со знаком «–» в формулу вводится показатель (Косл), определяющий ослабление сигнала при распространении в зависимости от расстояния и рельефа местности.
Кроме того, всегда есть потери (Еп), обусловленные целым комплексом причин, включая ослабление сигнала в соединительных разъемах, потери из-за несовпадения поляризации антенн и т.п. Кроме того, при использовании внешних антенн, подключаемых к радиооборудованию с помощью коаксиальных кабелей, необходимо знать длину кабелей и величину погонного затухания в них. Результирующее затухание в кабелях добавляется к величине Еп.
В точке приема возможно действие помех (атмосферных и промышленных). При одновременной работе близко расположенных радиостанций, работающих в различных радиосетях (на различных несущих частотах), возникает проблема обеспечения их электромагнитной совместимости, т.е. проблема обеспечения совместной работы радиостанций без взаимных мешающих влияний. Результаты экспериментальных исследований приёмопередатчиков стационарных и возимых радиостанций показали, что для обеспечения заданного качества и надёжности радиосвязи (заданного отношения сигнал/шум на выходе низкочастотного тракта приёмника) в случае повышения допустимого уровня мешающего сигнала требуется пропорциональное увеличение уровня полезного сигнала на входе приёмника. Таким образом, для обеспечения радиосвязи с заданным качеством и надёжностью необходимо учитывать величину напряжённости поля помехи ∆Eдоп, определяемой электромагнитной обстановкой в данном районе. Поэтому при расчетах берется запас помехоустойчивости к внешним помехам, величина которого определяется электромагнитной обстановкой в районе, где «прокладывается» радиолиния, и, как правило, задается в пределах от 5 до 20 дБ. В этом случае обеспечивается устойчивая радиосвязь.
В случае, когда соотношение Ер ≥ Емин не выполняется, следует увеличить энергетику линии. Это можно осуществить двумя способами: выбор средств радиосвязи с лучшими параметрами или уменьшение потерь при распространении сигнала.
Первый способ реализуется за счет увеличения мощности передатчиков или улучшения чувствительности приемников. Но следует иметь ввиду, что увеличение мощности передатчика в два раза позволяет увеличить дальность радиосвязи лишь на 15-20%.
Второй способ может быть осуществлен за счет поднятия антенн, но при значительном увеличении высоты антенных опор возрастает длина фидерной линии, что приводит к увеличению потерь энергии, а также возрастает стоимость мачтовых сооружений и усложняется их эксплуатация.
Как правило, оба способа предусматривают дополнительные затраты, поэтому требуемый результат достигается комбинированием соответствующих мероприятий. В ряде случаев улучшение качества связи можно добиться применением антенн направленного действия и правильным подбором рабочих частот с учетом электромагнитной совместимости.
Другая модель радиоканала включает в себя относительно высокоподнятую неподвижную стационарную антенну базовой станции и движущегося абонента с низкорасположенной антенной. При рассмотрении этой модели значительно возрастает влияние среды распространения сигнала и расчеты несколько усложняются. Все приемлемые методики энергетического расчета данной модели основаны на эмпирических методах анализа.
В большинстве случаев независимо от используемых методик расчета соответствующих характеристик радиолиний возможна автоматизация этого процесса. В практической деятельности государственных служб автоматизация расчета радиоканалов позволяет составить карту зоны покрытия ведомственной системы радиосвязи, что давно делается операторами сотовой связи. Наличие подобной информации позволяет при необходимости (например, в зоне неустойчивой радиосвязи) предпринять соответствующие меры.
4. ОРГАНИЗАЦИЯ СВЯЗИ В ПОЖАРНОЙ ОХРАНЕ
Рис. 3.13. Расчет дальности прямой видимости