Пример 3.2.
Рассчитать и построить характеристики вентилятора, заданного в примере 3.1, при увеличении плотности перемещаемой среды в 1,2 раза.
Пересчет производится по формулам:
L2 = L1;
;
.
После перерасчета характеристика примет вид:
| P, Па | |||||
| L, м3/ч | |||||
| N, кВт | 1,32 | 1,5 | 1,62 | 2,04 | 2,16 |
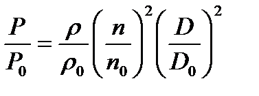
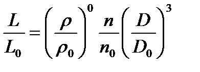
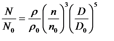
Пересчет по нескольким параметрам одновременно. Обобщенные формулы пересчета имеют вид:
, (3.17)
, (3.18)
. (3.19)
Характеристики других лопастных машин пересчитываются по тем же формулам, что и центробежных.
Точность пересчета. В выводе выше приведенных формул принималось, что КПД остается постоянной величиной. Кроме того, не учитывались изменения числа Рейнольдса. Однако анализ показал, эти допущения не оказывают существенного влияния, и неточность лежит в пределах, допустимых для практических расчетов.