В экономике
Дисконтированный доход при непрерывном начислении процентов равен

где
– функция ежегодного дохода;
i – удельная норма процента;
T – время начисления дохода.
2.62. Определить дисконтированный доход за T лет при процентной ставке I %, если первоначальное капиталовложение составило 1 млрд руб. и будет увеличиваться ежегодно на 0,2 млрд руб.:
1) T = 5, i = 10; 2) T = 10, i = 2.
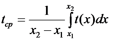
Среднее время, затраченное на изготовление одного изделия в период освоения от
до
изделий равно
,
где функция t = t(x) часто имеет вид 
где а – затраты времени на первое изделие;
b – показатель производительности процесса.
2.63. Найти среднее время, затраченное на изготовление одного изделия, если:
1) 
2) 