Вопрос 5. Расчёт неритмичных потоков с НОФ
Метод организации работ с непрерывным освоением фронтов работ наиболее целесообразен в тех случаях, когда требуется сократить время выполнения всех работ на каком-то фронте. Это имеет место при ремонте и реконструкции объектов, в том числе и производственных.
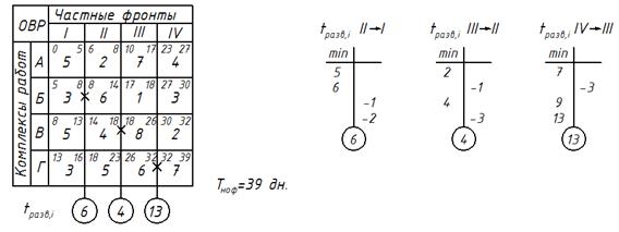
Расчет потока с непрерывным освоением фронтов работ может осуществляться на матрице в системе ОФР, но лучше транспонировать матрицу в систему ОВР. Методика расчета потока с непрерывным освоением фронтов работ аналогична расчету потока с непрерывным использованием ресурсов, но обеспечивается нулевое растяжение не ресурсных, а фронтальных связей. При этом, как правило, имеют место простои ресурсов.
Периоды развертывания между частными фронтами определяются по той же методике, что и в методе НИР.
Календарный план с НОФ рекомендуется представлять в виде циклограммы в системе ОВР (ордината - вид работ). В этом случае наклонные линии будут представлять работы, выполняемые на фронтах.


В алгоритм расчета периода заложены следующие условия:
1. Для НИР или НОФР работы должны выполняться непрерывно или фронты должны осваиваться непрерывно
2. Необходимо обеспечить максимальное сближение частных потоков
3. На каждом фронте в каждый момент времени – 1 работа (требования техники безопасности).