ФИЗИКА_ВОУД (19.04.2014)

0,1 с ішінде ток күші 5 А-ден 3 А-ге дейін бірқалыпты кемитін, индуктивтілігі 2 Гн катушкадағы өздік индукция э.қ.к:A) &40 В.B) &0,04 кВ.C) &40 000 мВ.

0,1с ішінде ток күші 5 А-ден 3А-ге дейін бірқалыпты кемитін, индуктивтілігі 2 Гн катушкадағы өздік индукция э.қ,к:A) & 40 В.B) & 0,04 кВ.C) & 40000 мВ.

0,7 мкКл және -0,1 мкКл екі нүктелік электр заряддтары бір-бірінен 2 см қашықтықта орналасқан. Зарядтардың ортасында жатқан нүктедегі электр өрісінің потенциалы:A) & 5,4 · 105 В.B) &5,4 · 102 кВ.C) & 0,54 МВ.

1 Физикалық маятник, 2 математикалық маятник, 3 серіппелі маятниктің тербеліс периоды:A) & .B) & .C)& .

1мкКл нүктелік электр зарядыеае 3 см қашықтықтағы өріс потенциалы:A) & 5· 105 В.B) & 5· 102 кВ.C) & 0,5 МВ.

1-ші текті фазалық ауысуды көрсетіңіз:A) &Кристалл заттың балқуы.B) &Кристалдануы.C) &Конденсациялануы.

-2 мкКл және 6мкКл екі нүктелік электр заряддтары бір-бірінен 60 см қашықтықта орналасқан. Зарядтардың ортасында жатқан нүктедегі электр өрісінің кернеулегі:A) & 8· 105 Н/Кл.B) & 8· 102 кН/Кл.C) & 0,8 МН/Кл.

200 кПа қысымдағы, 2,1 л көлемді алатын 8г оттегінің температурасы қандай:A) &-71 .B) &344 К.

27t wx:val="Cambria Math"/><w:sz w:val="28"/><w:sz-cs w:val="28"/><w:lang w:val="KZ"/></w:rPr><m:t>в„ѓ</m:t></m:r></m:oMath></m:oMathPara></w:p><w:sectPr wsp:rsidR="00000000"><w:pgSz w:w="12240" w:h="15840"/><w:pgMar w:top="1134" w:right="850" w:bottom="1134" w:left="1701" w:header="720" w:footer="720" w:gutter="0"/><w:cols w:space="720"/></w:sectPr></wx:sect></w:body></w:wordDocument>"> Температурадағы және қысымы 105 Па газ көлемі 1м3. Сол 105 Па қысымдағы, көлемі 0,5 м3 болса, газ температурасы қандай:A) &150 К.B) &-123 .C) &1,5 К.

3 кВ потенциалға дейін зарядталған, радиусы 12 см оқшауланған сфераның энергиясы:A) & 6· 10-5 Дж.B) & 6· 10-2 мДж.C) & 60 мкДж.

3 мс ішінде контурдың магнит ағыны 27 мВб-ден 0-ге дейін кеміді. Контурдың э.қ.к орташа мәні:A) & 9 В.B) & 0,009 кВ.C) & 9000 мВ.

36000 кДж жұмыс жасау үшін,қуаты 25 кВт двигатель қанша уақыт жұмыс жасауы керек?A) &24 мин.B) &1440 сек.C) &0,4 сағ.

4 с уақыт аралығыда кернеуі 1-ден 5 В-қа дейін біркелкі артатын, кедеогісі 2 Ом өткізгіштегі электр заряды:A) & 6 Кл.B) & 0,006 Кл.C) & 6000 мКл.

400 м/с жылдамдықпен ұшып келе жатқан оқ,бөгетке тиіп,тоқтағанға дейін 2,5 м жол жүреді. Бөгеттің кедергі күшін анықтаңыз. Оқтың массасы 24 г:A) &F=768 H.B) &F=0,768 кН. C) &F=7,68·102.

5 нКл зарядты электр өрісінде орын ауыстырғанда жасалатын жұмыс 2 мДж, өрістің екі нүктесінің арасындағы потенциалдар айырмасы:A) & 4· 105 В.B) & 4· 102 кВ.C) & 0,4 МВ.

6 с уақыт аралығыда ток күші 0-ден 4 А-ге дейін біркелкі артатын өткізгіштегі электр заряды:A) & 12 Кл.B) & 0,012 Кл.C) & 12000 мКл.

m=const кезіндегі идеал газдың (1-4) процестердегі сәйкестікті анықтаңдар:A) &2 - Т=0, U=0.B) &4 - V=0, A=0.C) &1 - Q=0, A= - U.

m=const кезіндегі идеал газдың (1-4) процестердегі сәйкестікті анықтаңдар:A) &3 - p=0, A=p V.B) &2 - T=0, U =0.C) &1 - Q=0, A= - U.

Ағын түтігіндегі сұйық қозғалысын анықтайтын теңдеулер:A) & .B) & .C) & .

Адиабата көрсеткішінің өрнегі:A) & .B) & .C) & .

Адиабаталық процеске арналған теңдеу:A) & .B) & .C) & .

Адиабаталық процесс кезінде:A) & Қоршаған ортамен жылу алмасу жоқ.B) & Жүйенің температурасы төмендейді.C) & Жылуды ішкі энергиядан алады.

Адиабаталық процесс үшін жұмыстың формуласын көрсет:A) & (1- γ-1).B) & (1- γ-1).C) & ( ).

Айналмалы қозғалыс динамикасының негізгі теңдеулері:A) & .B) & .C) & .

Айнымалы қозғалыста бұрыштық жылдамдықты анықтауға болатын теңдеу:A) & .B) & .C) & .

Айнымалы ток желісінде тізбектій қосылған R,L,C тізбегінің жалпы кедергісі актив кедергіге тең, егер:A)& .B)& .C) & =0.

Альфа-ыдырау.A)& Радиоактивті α-ыдырау массалық саны А 200 және заряды Z 82 ауыр ядролардың қасиеті болып табылады.B)& α-бөлшектер гелий ядросының ағыны.C)& α-бөлшектер екі протоннан және екі нейтроннан тұрады.

Анықталмаушылықтар қатынасына сәкес теңдеу:A)& .B)& , .C)& , .

Арақашықтығы өрістің қарастырылып отырған нүктесінде дейінгі қашықтықтан елерліктей аз болатын, модулі жағынан тең екі әр аттас нүктелік зарядтар жүйесі:A) &электрлік диполь.D) &диполь иіні арқылы сипатталады .E) & электр моментіне ие.

Атом энергиясын анықтайтын өрнек:A)& .B)& .C)& .

Атом ядросы:A)& Ядро деп атомның барлық массасы және оның оң заряды шоғырланған атомның орталық бөлігін айтады. B)& Атом ядросы элементар бөлшектер – протондар (р) мен нейтрондардан (n) тұрады.C)& Атом ядросы нуклондардан тұрады.әсер етеді.

Әсері электромагниттік құбылыстарға негізделген құрал:A) &трансформатор.E) &генератор.F) &соленоид.

Байланыс энергиясының өрнегі:A)& .B)& .C)& .

Балқу кезінде....:A) &Балқу температурасында дене қатты күйден сұйық күйге айналады.B) &Дене сұйық күйге өткенше дене температурасы тұрақты болып қалады.C) &Кейбір денелердің көлемі артады, кейбіреулерінің көлемі кемиді.

Барометрлік формуласы:A) &Биіктікке байланысты қысымның экспоненциалды заңмен кемитінін анықтайды.B) &Биіктікке байлансты қысымды анықтауға болады.C) &Қысымды өлшеп биіктікті анықтауға болады.

Берілген шамалардың қайсысы Джоульмен өлшенеді:A) &Серпімділік күшінің потенциалдық энергиясы.B) &Қозғалыстағы дененің кинетикалық энергиясы.C) &Ауырлық күшінің потенциалдық энергиясы.

Берілген ортадағы зарядтардың өзара әсерлесу күші, вакуумдағы әсерлесу күшінен қанша есе аз екендігін көрсететін шама:A) &ортаның диэлектрлік өтімділігі.B) & .D) &өлшемсіз шама.

Берілгендердің ішінен Ньютонның III заңының анықтамасы:A) &Екі материалдың нүктелердің өзара әсерлесу күштері модуль бойынша тең бағыттары қарама- қарсы.B) &Бағыттары нүктелерді қосатын сызық бойымен дәл келеді.C) &Бұл күштер әрқашанда қос күш болып табылады және табиғаты бірдей.

Бета-ыдыраудың түрлері:A)& - ыдырау немесе электрондық ыдырау.B)& - ыдырау немесе позитрондық ыдырау.C)& Электрондық қармау.

Бозондар:A)& Спині нөлге немесе бүтін санға тең бөлшектер (t wx:val="Cambria Math"/><w:sz w:val="28"/><w:sz-cs w:val="28"/><w:lang w:val="KZ"/></w:rPr><m:t>ПЂ</m:t></m:r></m:oMath></m:oMathPara></w:p><w:sectPr wsp:rsidR="00000000"><w:pgSz w:w="12240" w:h="15840"/><w:pgMar w:top="1134" w:right="850" w:bottom="1134" w:left="1701" w:header="720" w:footer="720" w:gutter="0"/><w:cols w:space="720"/></w:sectPr></wx:sect></w:body></w:wordDocument>"> -мезондар, фотондар).B)& Симметриялы толқындық функциямен сипатталады.C)& Бозе-Эйнштейн статистикасына бағынады.

Бойль-Мариотт заңының теңдеуі:A) & .B) & .C) & T=const.

Больцман таралуы бойынша:A) &Газ молекулаларының потенциалдық энергиясы ең аз жерде газ тығыздығы максималды.B) &Газ температурасы тұрақты.C) &Газ молекулаларына ауырлық күшінің өрісі әсер етеді.

Бордың бірінші постулаты:A)& Атомда стационар күйлер болады.B)& Атомның стационар күйлеріне электрондардың стационар орбиталары сәйкес келеді.C)& Электрондар стационар орбитада жүргенде электромагниттік сәуле шығармайды.

Бордың екінші постулаты:A)& Электрондар бір стационар орбитадан басқа стационар орбитаға көшкенде бір квант энергия шығарылады (жұтылады).B)& Жиіліктер ережесі деп аталады.C)& Атом энергиясы үлкен күйден энергиясы кіші күйге аусқан кезде (электрон ядродан анағұрлм алыс орбитадан, оған жақынырақ орбитаға көшкен кезде) сәуле шығарылады.

Бөлшектің жылдамдық модулінің уақытша байланыстылығы: (a және b-тұрақты шама) және бөлшектің массасы m берілген. Бөлшекке әсер ететін күш:A) & .B) & .C) & .

Бұрыштық жылдамдық пен бұрыштық үдеудің өлшем бірлігі:A) &[ ]=рад/с; [ ]=рад/с2.B) &[ ]=рад/мин; [ ]=рад/мин2.C) &[ ]=рад/сағ; [ ]=рад/сағ2.

Бұрыштық үдеудің өрнегі:A) & .B) & .C) & .

Бір атомды идеал газдың ішкі энергиясының өзгерісі:A) & .B) & .C) & .

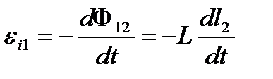
Біреуінде ток күшін өзгерткенде екіншісінде э.қ.к. нің пайда болу құбылысы:A)& өзараиндукция. C) &трансформатордың жұмысы негізінде.G) & .

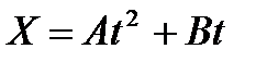
Бірқалыпты үдемелі қозғалысқа сәйкес математикалық өрнек:A) & .B) & .C) & .

Бірлік оң таңбалы зарядты орын ауыстырғанда бөгде күштердің жасайтын жұмысымен анықталатын физикалық шама:A) &электр қозғаушы күш.D) & .G) & .

Біртекті магнит өрісінде орналасқан ток күші 1,5 A, индукциясы 4Тл өткізгішке 10Н күш әсер етеді. Өткізгіш магнит индукциясы сызықтарына 450 бұрышпен орналасқан. Өткізгіштің актив бөлігінің ұзындығы:A) &2,38м.B) &238см.C) &2380мм.

Біртекті магнит өрісінде орналасқан ұзындығы 0,5 м, индукциясы 0,4 Тл өткізгішке 0,2 Н күш әсер етеді. Магнит индукциясы сызықтарына 300 бұрыш жасай орналасқан өткізгішке әсер ететін ток күші:A) &2 A.B) &0,002 кА.C) &2000 мА.

Біртекті магнит өрісінде орналасқан ұзындығы 0,5 м,индукциясы 0,4 Тл өткізгішке 0,2 Н күш әсер етеді. Магнит индукциясы сызықтарына 300 бұрыш жасай орналасқан өткізгішке әсер ететін ток күші:A) &2 А.B) &0,002кА.C) &2000мА.

Біртекті сызықты өткізгіштің өткізгіштігімен анықталатын физикалық шама:B) &меншікті электр өткізгіштік.E) &См/м-мен өлшенеді.H) & .

Біртекті сызықты өткізгіштің электр кедергісі келесідей параметрлермен анықталады:A) & температурасы мен ұзындығы.B) & көлденең қимасының ауданы.C) & өткізгіштің материалы.

Вакуумдағы электр өрісін есептеуге Гаусс теоремасын қолдану:D) & .G) & .H) &

Виннің ығысу заңының өрнегі:A)& .B)& болғанда, .C)& .

Газ молекулаларының орташа квадраттық жылдамдығының ең ықтимал жылдамдыққа қатынасы неге тең:A) & .B) &1.51/2.C) &1,2.

Газға 100Дж жылулық мөлшері берілген, ал сыртқы күштер оның үстінен 300Дж жұмыс істейді. Газдың ішкі энергиясының өзгеруі неге тең:A) &400 кДж.B) &0,4 кДж.C) &4 102 Дж.

Газдың берілген массасындағы мольдер саныны табуға арналған өрнек:A) & .B) & .C) & .

Газдың кез-келген мөлшері үшін Менделеев-Клапейрон теңдеуі:A) & .B) & .C) & .

Газдың температурасы 27 болғанда көлемі 6 л болады, егер 77 болғанда көлеі қандай болады (қысымы тұрақты деп есептеңіз):A) &7л.B) &7 10-3 м3.C) &70 10-2 м3.

Гамма сәулелену:A)& -сәулелену қатқыл электромагниттік сәулеленуге жатады.B)& -сәулені аналық ядро емес, туынды ядро шығарады.C)& -квантының тыныштық массасы нольге жуық.

Гармоникалық тербелмелі қозғалыс А sin( ) заңдылығымен өтеді. Осы қозғалыстың жылдамдығын анықтаңыз:A)& .B)& - .C)& .

Гармониялық осцилляторға мысал бола алады:A) &Математикалық маятниктің тербелісі.B) &физикалық маятниктің тербелісі.C) &Серіппелі маятниктің тербелісі.

Гейзенбергтің анықталмаушылық принципі:A)& Микробөлшек бір мезгілде анықталынған координатаға (x,y,z) және сәйкес анықталынған импульс проекциясына ( ) ие болуы мүмкін емес.B)& Координаталар мен импульс проекцияларының анықталмаушылықтарының көбейтіндісі һ шамаснан кіші болуы мүмкін емес.C)& Орташа өмір сүру уақыты t жүйе, энергиясы анықталған мәнмен сипатталуы мүмкін емес.

Геометриялық оптиканың негізгі заңдары:А) &Жарық шоғының тәуелсіздік заңы. В) &Шағылу заңы.С) &Сыну заңы.

Голография:А) &Интерференциялық көріністі тіркеуге негізделген,толқындық өрісті қалпына келтірудің және жазудың ерекше әдісі. В) &Денеден шағылған жарық толқынының структурасын фотопастинкаға түсірудің ерекше әдісі. С) &Ақпараттарды жазу және сақтау әдісі.

Дальтон заңының теңдеуі:A) & B) & .C) & .

Де – Бройль толқынының қасиеттері:A)& Де – Бройль толқынының фазалық жылдамдғы бостықтағы жарық жылдамдығынан үлкен (себебі с ) .B)& Де – Бройль толқынының топтық жылдамдығы бөлшектің жылдамдығына тең.C)& Де – Бройль толқыны бөлшекпен бірге қозғалады.

Де Бройль тұжырымдамасы:A)& Фотондар ғана емес электрондар және материяның кез-келген басқа бөлшектері корпускулалықпен бірге толқындық қасиетке ие болады.B)& Корпускулалық – толқындық екі жақтылық әмбебаптығы.C)& Кез келген нысанға энергияс Е және импульсі р-корпускулалық қасиеттер, сонымен қатар жиілігі ν және толқын ұзындғы λ толқындық қасиеттер тән.

Де- Бройль формуласы:A)& .B)& .C)& .

Дене 0,05 м/с2 үдеумен кездегі күші 1000Н-ға тең. Дененің массасын анықтаңыз:A) &20 т.B) &20·103 кг.C) &2·104 кг.

Дененің кинетикалық энергиясы 100 Дж және импульсі 40 кг-м/с. Дененің массасы неге тең?A) &8 кг.B) &8·103 г.C) &0,08·102 кг.

Джоуль-Томсон эффекті нені сипаттайды:A) &Адиабаттық процесте нақты газдың температурасының өзгерісін.B) &Қысымның құлауының әсерінен дроссельден (кеуек бөгеттен) газдың баяу өтуі.C) &Эффектіде температуралар айырымының таңбасы өзгеретін инверсия температурасы болуы.

Диаметрі 2 см болатын құбырдан жарты сағаттың ішінде массасы 1,53 кг газ ағып өткен. Газдың тығыздығы 7,5 кг/м3 болса,оның ағыс жылдамдығы қандай болады?A) &0,36 м/с.B) &36·10-2 м/с.C) &36 см/с.

Динамометр пружинасын 5 см-ге созды. Пружина қаттылығы 40 Н/м. Созылған пружинаның потенциалдық энергиясы неге тең?A) &50мДж.B) &50·10-3 Дж.C) &5·10-2 Дж.

Дифференциялдық теңдеуі болатын тербелісте периодты түрде әсер ететін күштің қандай жиілігінде резонанс құбылысы байқалады:A) &4 t wx:val="Cambria Math"/><w:sz w:val="28"/><w:sz-cs w:val="28"/><w:lang w:val="KZ"/></w:rPr><m:t>ПЂ</m:t></m:r></m:oMath></m:oMathPara></w:p><w:sectPr wsp:rsidR="00000000"><w:pgSz w:w="12240" w:h="15840"/><w:pgMar w:top="1134" w:right="850" w:bottom="1134" w:left="1701" w:header="720" w:footer="720" w:gutter="0"/><w:cols w:space="720"/></w:sectPr></wx:sect></w:body></w:wordDocument>"> с-1.B) &12,56 с-1.C) &753,6 мин-1.

Диэлектриктерді үш түрге бөледі:A) &Полярлы емес молекулалы.B) &Полярлы молекулалы.C) &Ионды.

Егер 0,01 м3 көлемде 8 1010 молекула болса, онда молекулалардың концентрациясы қандай болатынын анықтаңыз:A) &8 1012 м-3.B) &80 1011 м-3.C) &800 1010 м-3.

Егер дөңгелектің тыныштық үйкеліс коэффициентінің максимал мәні тас жолда 0,55 тең болса, жолдың горизонталь бөлігіндегі бастапқы жылдамдығы 36 км/сағ болатын автомобильдің минимал тежелу жолын анықтау керек:A) &9м.B)&90дм.C) &900см.

Егер өріс бірнеше зарядтардан жасалса,онда зарядтар жүйесінің потенциалы:B) & .E) & .F) &зарядтар өрісі потенциалдарының алгебралық қосындысына тең.

Егер теміржол вагонының буфер пружинасын l2=1см қысу үшін F2=30кН күш қажет болса,оны l1=1см қысу үшін қандай F1 күш қажет?A) &120кН.B) &12·104Н.C) &120·103Н.

Екі атомды 1 кмоль газды адиабаттық жолмен сыққанда 145 кДж жұмыс жасалынды. Осы газдың температурасы неше градусқа өзгереді R=8,31Дж/(моль К):A) &7 К.B) &-266 .C) &700 10-2 К.

Еріксіз электр тербелістерінің дифференциялдық теңдеуі түрінде берілген. Ток көзінің айнымалы ЭҚК-нің циклдік жиілігі неге тең:A)& 2 с-1.B)& 6,28 с-1.C)& 376,8 мин-1.

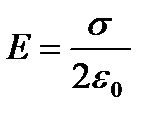
Жазық конденсатордың пластиналарының ара қашықтығы 5 мм, пластиналардың арасындағы потенциалдар айырымы 1 кВ. Жазық конденсатордың электр өрісінің кернеулігі:A) & 200 кВ/м.B) & 0,2 МВ/м.C) & 200 000 В/м.

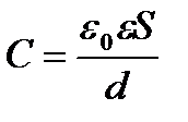
Жазық конденсатордың сыйымдылығы:A) & .B) & .C) & .

Жазық конденсатордың электростатикалық өрісінің энергиясының көлемдік тығыздығы:A) & .B) & .C) & .

Жарық интерференциясын бақылау әдістері:А) &Юнг әдісі.В) &Френель айналары.С) &Френель бипризмасы.β - ыдыраудың заңдылығы:A)& .B)& .C)& .

Жарықтың дисперсиясы:A) &Заттың сыну көрсеткіштерінің жарықтың толқын ұзындығына тәуелділігі.B) & Заттың сыну көрсеткіштерінің жарықтың жиілігіне тәуелділігі.C) &Жарық толқынының фазалық жылдамдығының оның жиілігіне тәуелділігі.

Жарықтың дифракциясы:A) &Жарық толқындарының кедергі төңірегінде таралғанда, геометриялық оптика заңынан ауытқуы.B) &Толқынның жолында кездескен кедергіні орап өтуі.C) &Дифракция басқа да толқындық процестерге тән құбылыс.

Жарықтың қысымының өрнегін көрсетіңіз:A)& .B)& .C)& .

Жоғары температурада денеден шығатын сәулелер:А)& Көрінетін. В) &Ультракүлгін.С) &Көрінетін, ультракүлгін.

Жылдамдық пен үдеудің өлшем бірлігі:A) &[υ]=м/с; [a]=м/с2.B) &[υ]=км/с; [a]=км/с2.C) &[υ]=м/мин; [a]=м/мин2.

Жіңішке сымнан жасалған, радиусы 5 см сақинада 10 нКл заряд біркелкі. Сақинаның ортасындағы электростатикалық өріс потенциалы:A) & 1800 В.B) & 1,8 В.C) & 0,0018 МВ.

Жіпке массасы m=1кг жүк ілінген. Жіпті жүкпен бірге 5 м/с2 үдеумен көтеріледі деп алып, жіптің керілу күшін F-ті табу керек:A) &14,8Н.B) &1480·10-2Н.C) &0,148·102Н

Зарядталған конденсатор энергиясы:A) & .B) & .C) & .

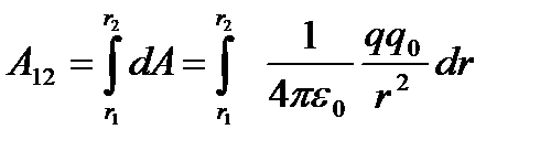
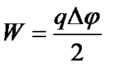
Зарядты бір нүктеден екінші нүктеге орын ауыстырғандағы істелінетін жұмыс:A) & .B) & .C) & .

Идеал газ анықтамасы бойынша:A) &Молекулалар өлшемі ыдыстың көлемімен салыстырғанда ескерілмейді.B) &Молекулалардың арасындағы әсерлесу күштері ескерілмейді.C) &Молекулалардың өзара және ыдыс қабырғасымен соқтығысуы абсолют серпімді болатын.

Идеал газ Карно циклын жасайды. Қыздырғыштан алынған жылу =42 кДж. Қыздырғыш температурасы салқндатқыш температурасынан 3 есе артық болса, газ қандай жұмыс жасайды:A) &28 кДж.B) &28000 Дж.C) &0,028 МДж.

Идеал газ үшін изобаралық процестің формуласы:A) & .B) & .C) & .

Идеал газдардың молекулалық кинетикалық теориясының негізгі теңдеулері:A) & . B) & . C) & .

Идеал газдың адиабата теңдеуі:A) & .B) & .C) & .

Идеал жылу қозғалтқыш қыздырғыштың абсолюттік температурасы суытқыштың температурасына қарағанда 3 есе жоғары.

Идеал жылу машинасының термиялық п.ә.к.:A) & .B) & η= .C) & η= .

Изобаралық процесс кезінде абсолют температура 3 есе кемиді. Газдың бастапқы көлемі 9 литр болса газдың көлемі:A) &3л.B) &3 10-3 м3.C) &3 дм3.

Изотермиялық процесс кезіндегі идеал газ энтропиясының өзгеруін жаз:A) & .B) & .C) & .

Изотермиялық процесс үшін жұмыстың формуласын көрсет:A) &νRTln .B) &νRTln .C) & RTln .

Изохоралық процесс кезіндегі термодинамиканың бірінші бастамасы:A) &A=0.B) &Q= U.C) & .

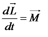
Импульс моментінің векторлық теңдеуі:A) & .B) & .C) & .

Импульс моментінің сақталу заңы:A) & .B) & .C) & .

Импульстің сақталу заңы:A) & .B) & .C) & .

Индуктивтілігі 0,2 Гн соленоидтан 10 А ток өтеді. Соленоидтың магнит өрісінің энергиясы:A) &10 Дж.B) &0,01кДж.C) &10 000 мДж.

Индуктивтілігі 0,5 мГн соленоидтың магнит өрісінің энергиясы 16 мДж. Соленоидтан өтетін ток күші:A) & 8 А.B) & 0,008 кА.C) & 8000 мВ.

Индуктивтілігі 0,8 Гн электромагниттің орамдарында 0,02 с аралығында ток күші 3 А-ге бірқалыпты өзгергенде пайда болатын индукция э.қ.к.:A) &120 B.B) &0,12 кВ.C) &120 000 мВ.

Индуктивтілігі 0,8 Гн электромагниттің орамдарында 0,02с аралығында ток күші 3 А-ге бірқалыпты өзгергенде пайда болатын индукция э.қ.к:A) & 120 В.B) & 0,12 кВ.C) & 120000 мВ.

Индукциясы 0,25 Тл біртекті магнит өрісіне, индукция сызықтарына 300 бұрышпен және 6∙106 м/с жылдамдықпен ұшып кірген шамасы 5 пКл нүктелік электр зарядына әсер ететін Лоренц күші:A) &6∙105 H.B) &6∙102 кH.C) &0,6 МН.

Индукциясы 0,25 Тл біртекті магнит өрісіне, өндіріс сызықтарына 30° бұрышпен және м/с жылдамдықпен ұшып кірген шамасы пКл нүктелік электр зарядына әсер ететін Лоренц күші:A)& Н.B) & кН.C) &0,6МН.

Инерциалдық санақ жүйесі:A) &Қарастырылған жүйеге салыстырғанда дене иыныштықта болатын жүйе.B) &Қарастырылған жүйеге салыстырғанда түзу сызықты және бірқалыпты қозғалыста болатын жүйе.C) &Инерция заңы және басқа да Ньютон заңдары орындалатын жүйе .

Инерция моменті J=63,6 кг·м2 цилиндр ω=31,4 рад/с тұрақты бұрыштық жылдамдықпен айналады. Цилиндр t=20 с-та тоқтауы үшін оған әсер ететін М тежеуші күш моментін табыңыз:A) &100 Н·м.B) &102 Н·м.C) &0,1кН·м.

Инерция моменті:A) &Материялық нүкте массасының оның айналу осіне дейінгі қашықтығының квадратына көбейтіндісіне тең шаманы айтады.B) &Айналмалы қозғалыста дененің инерттілігін сипаттайтын физикалық шама.C) &Ол қандай оське салыстырғанда және көлем бойынша оның массасы қалай таралғандығына байланысты.

Интерферометрлердің түрлері:А) &Майкельсон интерферометрі. В) &Линник интерферометрі. С) &Жамен интерферометрі.

Калийге толқын ұзындығы 330 нм жарық түседі. Электрондар үшін тежеуші кернеуді табу керек. А=3,2∙10-19Дж, h=6,63∙10-34Дж с, с=3∙108м/с:А)& 1,77 В.В)& 1770 мВ.С)& 0,00177 кВ.

Кариолис күші:A) &Айналмалы жүйеде қозғалатын денеге әсер ететін күш.B) &Қозғалыстың тек бағытын ғана өзгерте алады.C) &Дөңгелек орбитада қозғалыс жылдамдығына перпендикуляр әсер етеді.

Карно циклінде Тс/Тж=2/3. Егер суытқышқа берілген жылу мөлшері Q2=600 кДж болса, қыздырғыштан алған жылу мөлшері қандай болғаны:A) &9 105 кДж.B) &900 103 кДж.C) &9 108 Дж.

Кедергісі 120 Ом өткізгіште 15 с. Уақыт аралығында, ток күші 0-ден 5 А-ге дейін біркелкі артады. Осы уақыт аралығындағы өткізгіште бөлінетін жылу мөлшері:A) & 15 кДж.B) & 15000 Дж.C) & 0,015 МДж.

Кез келген S бет бойынша магнит индукциясы векторының ағыны:A) & .B) & .C) & .

Кез келген ядролық реакцияларда орындалатын сақталу заңдары:A)& Электр зарядының сақталу заңы.B)& Массалық санның сақталу заңы.C)& Энергияның сақталу заңы.

Келтірілген теңдеулердің қайсысы дененің абсолют серпімді соққысы үшін дұрыс?.A) & .B) & .C) & .

Кернеулік пен потенциал арасындағы байланыс:A) & .B) & .C)

Кинетикалық энергия:A) &Дене қозғалыс жылдамдығының функциясы болып табылады.B) &Жүйе күйінің функциясы.C) &Әртүрлі санақ жүйесінде бірдей емес.

Кинетикалық энергияның өрнегі:A) & .B) & .C) & .

Комптон эффектісі:A)& Қысқа толқынды электромагниттік сәулелердің бос электрондардан шашырауы.B)& Қысқа толқынды электромагниттік сәуле заттың еркін электрондарында серпімді шашыраған кезде толқын ұзындығының артуы.C)& Рентгендік фотондардың заттың еркін электрондарымен серпімді соқтығысуының нәтижесінде, толқын ұзындығының артуы.

Комптон эффектісін сипаттайтын өрнек:A)& .B)& .C)& .

Конденсаторды тізбектей жалғағандағы жалпы сыйымдылық:A) & .B) & .C) & .

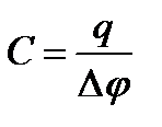
Конденсатордың электр сыйымдылығы:C) & .F) & .G) & .

Консервативті күш дегеніміз:A) &Бөлшек бір нүктеден екінші нүктеге орын ауыстырғанда жолдың пішініне тәуелсіз жұмыс жасайтын күш.B) &Бөлшек бір нүктеден екінші нүктеге орын ауыстырғанда жасалынатын жұмысы алғашқы орны мен соңғы орнына тәуелді болатын күш.C) &Тұйық контур бойынша тасымалдаған кезде жасалынатын жұмысы нольге тең болатын күш.

Консервативтік деп:A) &Жұмысы жүрген жолға тәуелді емес, тек дененің бастапқы және соңғы орындары арқылы анықталатын күштерді айтады.B) &Механикалық энергиясы тұрақты болатын жүйеде әсер ететін күштер.C) &Дененің тұйықталған траекториясы үшін жұмысы нольге тең күштер.

Көзге көрінетін жарықтың жиілігі қай аралықта жатады? А) &(0,36÷0,75) ·1015 Гц.В) &(390÷750)·1012 Гц.С) &(390÷750)· 106 Гц.

Көзге көрінетін жарықтың толқын ұзындығы:А) &(400÷760) нм.В) &(400÷760)·10-9 м.С) &(4÷7,6)· 10-7 м.

Көлденең қимасының ауданы 50 см2 катушкада 4 мс уақыт аралығында магнит индукциясын 0,2-ден 0,6 Тл-ға дейін өзгерткенде 5 В индукция э.қ.к. пайда болды. Катушканың орам санын анықта:A)&10.B)&5+5.C)&2+8.

Кристаллдың жағына толқын ұзындығы 500 пм рентген параллель шоғытүседі. 30 бұрышпен бірінші реттік максимум байқалады. Кристаллдың атомдар жазықтығы ара қашықтығын табу керек:A)& 500 пм.В)& 500∙10-12 м.С)& 5∙10-10 м.

Кулон күшінің ерекшелігі:A) &вольтметрмен өлшенеді.D) &кулонмен өлшенеді.H) &күшке жатады.

Күш моменті:A) &Күш түсетін нүкте радиус-векторының күш векторына векторлық көбейтіндісіне тең шама.B) &Күш бағытымен бағыттас векторлық шама.C) &Импульс моментінің уақыт бойынша өзгеру шапшаңдығына тең.

Күш:A) &Денеге басқа денелер немесе өрістер тарапынан болатын механикалық әсердің өлшемі болып табылады.B) &Күштің әсерінен дене үдемелі қозғалысқа енеді немесе өлшемдері мен пішінін өзгертеді.C) &Дененің импульсінің уақыт бойынша өзгерісіне тең шама.

Қайсы күш потенциалды болып табылады:A) &Серпімділік күші.B) &Электростатикалық.C) &Ауырлық күші.

Қалыпты атмосфералық қысым:A) &p=1,013∙105 Па.B) &p=1 атм.C) &p=760 мм.сын.бағ.

Қалыпты жағдайдағы көлемі 300м3 ғимараттағы ауаның массасы:A) &388 кг.B) &3,88 102кг.C) &0,388т.

Қандай биіктікте ауа қысымы р=0.6p0 болады. Р0 – теңіз деңгейіндегі қысым, р – биіктіктегі қысым. Ауа температурасы барлық биіктікте бірдей 10 :A) &3,6 км.B) &3600м.C) &3,6 103м.

Қатты денеге тән қасиеттер:A) &Көпшілігі кристалдық құрылысқа ие.B) &Пішіні мен кқлем тұрақтылығы.C) &Бөлшектері тепе-теңдік арақашықтығына қатысты хаосты тербеледі.

Қозғалмайтын нүктелік электр зарядтарының әсерлесуін сипаттайтын заң:B) &Кулон заңы.E) & .H) & .

Қозғалмайтын электр зарядтары тудыратын өріс:A) &электр өрісі.D) &электромагниттік өріс.H) &потенциалды емес өріс.

Қозғалыстағы зарядталған бөлшектерге магнит өрісі тарапынан әсер ететін Лоренц күші:A) &жұмыс жасалмайды.C) & және векторларына перпендикуляр. G) &бөлшектің жылдамдығы мен зарядына тәуелді.

Қоздыру тәсілдеріне байланысты люминесценцияның мынадай түрлерін ажыратады:A)& Фотолюменесценция (жарықтың әсерінен), рентгенлюминесценция (ренген сәулелерінің әсері арқылы).B)& Катодолюминесенция (электрондардың әсері арқылы), радиолюминесценция (ядролық сәулелермен қоздыру арқылы, мысалы - сәулелерімен, нейтрондармен, протондармен).C)& Хемилюминесценция (химиялық түрленулер кезінде), триболюминесценция (кейбір кристалдарды жарғанда немесе ұнтақтағанда).

Қос күш моменті қандай бірлікпен өлшенеді:A) &Н∙м.B) & C) &Вт∙с.

Қуат пен жұмыстың өлшем бірлігі:A) &[A]=кг м22; [N]= кг м23.B) &[A]=Дж; [N]=Вт.C) &[A]=Н∙м; [N]=Н∙м/с.

Қуат пен жұмыстың өлшем бірліктері:A) &[A]=кг м22; [N]= кг м23.B) &[A]=Н∙м; [N]=Дж/с.C) &[A]=Дж; [N]=Вт.

Қуаттың өрнегі:A) & N= .B) & .C) & .

Қыздырғыш газға 40 кДж жылу берді. Газ қандай жұмыс жасады:A) &26,7 кДж.B) &26700 Дж.C) &26,7 102Дж.

Қысымы 1,4 105 Па газ бар ыдысты көлемі 6 литр бос ыдыспен жалғаған. Жалғанған екі ыдыстағы қысым 1 105 Па болды. Процесті изотермиялық деп есептеп, бірінші ыдыс көлемін анықтау керек:A) &15л.B) &15 дм3.C) &15 10-3 м3.

Лазерлер мынадай түрлерге бөлінеді:A)& Белсенді орта үлгісі бойынша (қатты денелі, газдық, жартылай өткізгішті және сұйықтық).B)& Толықтыру әдісі бойынша (оптикалық, жылулық, химиялық, электроионизациялық және т.б.).C)& Генерациялау тәртібі бойынша (үзіліссіз, немесе импульстік әсер ету).

Лазерлер:A)& Белсенді орталарда сәуле шығаруды күшейту эффектісі.B)& Оптикалық кванттық генератор.C)& Мәжбүр сәуле шығарудың көмегімен жарықты күшейту.

Лазерлік сәуле шығарудың қасиеттері:A)& Уақыттық және кеңістіктік когеренттілік.B)& Қатаң монохроматтылық.C)& Энергия ағынының тығыздығы үлкен.

Литий үшін фотоэффектінің қызыл шекарасын табу керек. А=3,84∙10-19Дж. h=6,63∙10-34Дж∙с, с=3∙108 м/с:А)& 517 нм.В)& 517∙10-9 м.С)& 0,517∙10-6 м.

Лоренц теңдеулерін көрсетіңіз:A) & .B) & .C) & .

Магнит индукциясы векторы:A) & = [ ].B) & M= Pm B∙ cosα.C)& = .

Магнит өрісінде істелетін жұмыс:A) & .B) & .C) & .

Магнит өрісінің энергиясы:B) & .C) & .H)& .

Магниттік қабылдағыштық:B) & диамагнетиктер үшін теріс.C) & парамагнетиктер үшін оң.H) .

Магниттік тұрақты:A) & .B) & .C) & Өлшем бірлігі Н/м.

Магниттік тұрақтының өлшем бірлігі:B) & .F) & .H) &Гн·м-1

Масса:A) &Ілгерілемелі қозғалыс кезінде дененің инерттілігінің өлшемі болып табылады.B) &Дененің гравитациялық қасиеттерін сипаттайды.C) &скаляр шама.

Массалар ақауының өрнегі:A)& .B)& .C)& .

Массасы 1000 кг дене 15 м/с жылдамдықпен радиусы 75 м болатын шеңбер бойымен қозғалыс жасайды. Денеге әсер ететін күш неге тең:A) &3000 Н.B) &3·103Н.C) &3кН.

Массасы 14 кг азоттығ зат мөлшері :A) & 500 моль.B) & 0,5 кмоль.C) & 5∙102 моль.

Массасы 2 тонна машина горизонталь жолмен бірқалыпты қозғалады. Егер үйкеліс коэффициенті 0,01 болса, ол 100 м жол жүргенде двигателі қанша жұмыс атқарады?A) &20 кДж.B) &2·104 Дж.C) &20000 Дж.

Массасы m,жылдамдығы ϑ0 горизонталь бағытта,ұшып бара жатқан оқ жұқа тақтайды тесіп өтеді. Тақтайдан өткеннен кейін оқтың жылдамдығы ϑ болады. Оқтың тақтайдан өткен кездегі үйкеліс күшінің Аүйк жұмысы неге тең:A) & .B) & .C) & .

Массасы m=0,1 г материалдық нүктенің тербелісі x=Acos t теңдеуімен сипатталады, мұндағы А=5cм, =20с-1. Кері қайтарушы күштің максимал мәні:A)& 2 10-3 Н.B)& 0,002 Н.C)& 20 10-4 Н.