Тема 1. Существование и единственность решения интегрального уравнения Фредгольма (метод малого параметра)
Рассмотрим уравнение
(1)
где y(x), f(x) непрерывны на [a, b], а
- непрерывна в основном квадрате:
a≤x, ξ≤b.
Будем искать решение в виде ряда
, (9)
где функции
подлежат определению.
Предположим, что ряд (9) равномерно сходится и y(x) – решение уравнения (1), тогда (9)→(1):

Приравняем коэффициенты в степенных рядах при одинаковых степенях λ, тогда
(10)
Таким образом, формальное решение уравнения (1) определяется формулами (9)-(10).
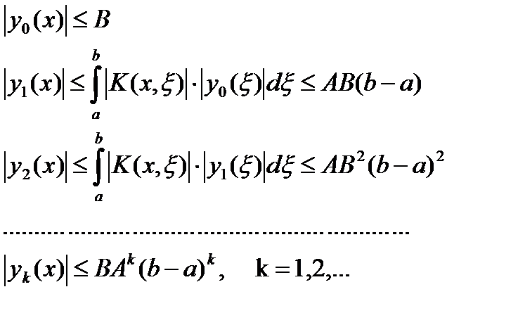
Покажем, что ряд (9) действительно равномерно сходится (этим самым результат будет обоснован).
Так как
и f(x) – непрерывны в замкнутых областях, то они ограничены:
Поэтому:

Значит ряд (9) мажорируется рядом
- (11)
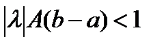
геометрический ряд – сходится, если
, то есть при
(12)
Вывод: если имеет место (12), то ряд (9) сходится равномерно и абсолютно.
Замечания:
Решение линейного интегрального уравнения (1) было получено тремя различными методами и притом в трех различных формах. Приведенный метод – метод последовательных подстановок – был развит Нейманом, Лиувиллем и Вольтерра. Этот метод дает решение в виде степенного ряда относительно λ, причем коэффициенты при различных степенях λ являются функциями от х. Ряд сходится при λ, меньших по абсолютной величине, чем некоторое число (при малых λ). Этот метод называют еще «методом малого параметра».
Покажем теперь, что уравнение Фредгольма не может иметь более одного решения в классе ограниченных функций, если λ удовлетворяет неравенству (12).
Пусть y(x) и y*(x) – два ограниченных решения уравнения, тогда разность ω(x)=y(x)-y*(x) ограничена:
,
то есть является решением однородного уравнения.
Имеем
, где
при a≤x, ξ≤b.
Далее

Заменяя в интеграле
, получим
и т.д.
После «k» шагов:
,
но так как
, то
и, следовательно,
, где ε>0 – любое число, => ω(x)=0 => y(x)=y*(x).
Замечание:
Значит, в круге
нет собственных значений ядра.