V. Определение продолжительности работ, сменности, состава бригад, числа исполнителей
Продолжительность механизированных работ определяем по производительности ведущей машины. Поэтому вначале устанавливаем продолжительность механизированных работ, ритм работы которых определяет все построение графика, а затем рассчитываем продолжительность работ, выполняемых вручную.
Продолжительность выполнения механизированных работ Тмех, дн, определяем по формуле
Тмех = Nмаш.-см/(nмашm),
где Nмаш.-см - необходимое количество машино-смен;
nмаш – количество машин;
m – количество смен работы в сутки.
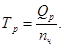
Продолжительность работ, выполняемых вручную Тр, дн, рассчитываем путем деления трудоемкости работ Qp, чел.-дн, на количество рабочих nч, которые могут занять фронт работ

Предельное число рабочих, которые могут работать на захватке, определяем путем разделения фронта работ на делянки, размер которых должен быть равен сменной производительности звена или одного рабочего. Произведение числа делянок на состав звеньев дает максимальную численность бригады на данной захватке.
Минимизация продолжительности имеет предел в виде трех ограничений: величины фронта работ, наличия рабочих кадров и технологии работ. Минимальная продолжительность отдельных работ определяется технологией их выполнения.
При использовании основных машин (монтажных кранов, экскаваторов) количество смен принимается не менее двух. Сменность работ, выполняемых вручную и с помощью механизированного инструмента, зависит от фронта работ и рабочих кадров. Количество смен определяется также требованиями проекта и нормативными сроками возведения объекта.
Число рабочих в смену и состав бригады определяем в соответствии с трудоемкостью и продолжительностью работ. При расчете состава бригады исходим из того, что переход с одной захватки на другую не должен вызывать изменений в численном и квалификационном составе. С учетом этого устанавливаем наиболее рациональное совмещение профессий в бригаде. Расчет состава бригады производим в следующей очередности: подсчитываем трудоёмкость работ; устанавливаем продолжительность ведущего процесса на основе данных о времени, необходимом ведущей машине; рассчитываем численный состав звеньев и бригады; определяем профессионально-квалификационный состав бригады.
В комплекс работ, поручаемых бригаде, включаем все операции, необходимые для бесперебойной работы ведущей машины, а также все технологически связанные или зависимые.
Чтобы численный состав бригады соответствовал производительности ведущей машины, за основу расчета принимаем сроки работ, определяемые по расчетному времени работы машины.
Количественный состав каждого звена nзв определяем на основе затрат труда па работах, порученных звену Qp, чел.-дн, и продолжительности выполнения ведущего процесса Тмех, дн, по формуле

Количественный состав бригады определяем суммированием численности всех звеньев бригады.
Основным методом сокращения сроков строительства объекта является поточно-параллельное и совмещенное выполнение строительно-монтажных работ: возведение надземной части, сантехнические и электромонтажные работы, столярно-плотничные работы, штукатурные работы. Работы, не связанные между собой, должны выполняются параллельно и независимо друг от друга. При наличии технологической связи между работами в пределах общего фронта соответственно смещаются участки их выполнения и работы выполняются совмещенно.
Составление графика (правая часть) начинаем с ведущей работы или процесса, от которого в решающей мере зависит общая продолжительность строительства объекта. Сопоставляя с нормативной, можно при необходимости сократить продолжительность ведущего процесса, увеличивая сменность и число механизмов, или число исполнителей на работах, выполняемых вручную. В зависимости от периода, на который рассчитан график, и сложности объекта может быть несколько ведущих процессов. Сроки остальных процессов привязываются к ведущему. Все неведущие процессы можно разделить на две группы: выполняемые поточно (как правило, в равном или кратном ритме с ведущем потоком) и вне потока.
В первой группе число исполнителей определяется как частное от деления трудоемкости на продолжительность ведущего процесса. Так проектируются на строительстве жилого дома сантехнические, электромонтажные, столярно-плотничные, штукатурные и другие работы. Здесь остается привязать срок начала работы того или иного специализированного потока по отношению к ведущему, т. е. установить - с отставанием на сколько захваток следует начинать следующий процесс.
Решение находится между минимумом, определяемым соображениями техники безопасности, и максимумом, допускаемым установленными сроками строительства объекта.