Линейное разделение сигналов. Oртогональные переносчики
Пусть необходимо организовать одновременную и независимую работу N индивидуальных каналов по общему групповому тракту. Пусть каждый канал подвергается балансной амплитудной или узкополосной угловой модуляции первичного сигнала

где
соответственно первичный сигнал и функция переносчика i-го канала,
.
Значение канального сигнала в момент времени t1
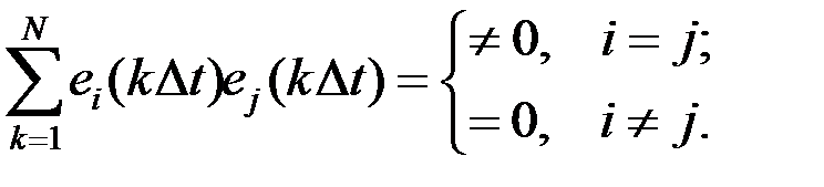
Должны исследоваться свойства переносчиков, т.к класс переносчиков принадлежит к детерминир сигналам, значит значение переносчиков сигнала известно, они выбираются самой системой.
Если время дискрет стремится к 0, то можно считать, что значение первичного сигнала не измен.
.
С учётом введенных обозначений система (6.11) будет описываться так


Свойство определяет ортогональность переносчиков «разноимённых» канальных сигналов для дискретного времени наблюдения.