Средний простой транзитного вагона, проходящего станцию с переработкой.
Определяется с разбивкой по 5 элементам.

- время обработки состава по прибытию;
- время расформирования состава;
- средний простой вагонов под накоплением;
- время на формирования поезда;
- время обработки поезда по отправлению.
Порядок определения первого элемента - 

Таблица 2. Простой транзитного с переработкой под прием
| N/N п/п | NN разборочных поездов | Время прибытия поезда | Время начала подачи состава на вытяжку | Время простоя в часах (гр.4 - 3) | Число транзитных вагонов в составе | Вагонно- часы простоя (гр. 5 * гр.6) |
| 1.25 0.45 5.05 9.40 11.45 13.35 15.45 19.25 17.15 19.50 22:45 | 3.15 1.45 6.05 10.40 12.45 14.35 17.00 22.18 19.08 22.58 23.45 | 1.50 1.15 2.53 1.53 3.08 | 94,5 72,45 159,39 96,39 194,04 | |||
| Итого | 994,77 |

- вагоно-часы простоя под операциями по прибытию;
- число транзитных вагонов с переработкой.

Порядок определения второго элемента –tрасф

Таблица 3. Простой транзитного с переработкой под расформированием
| N/N п/п | NN разборочных поездов | Время прибытия поезда | Время начала подачи состава на вытяжку | Время простоя в часах (гр4-3) | Число транзитных вагонов в составе | Вагоно- часы простоя (гр5*гр6) |
| 1.25 0.45 5.05 9.40 11.45 13.35 15.45 19.25 17.15 19.50 | 3.31 2.01 6.37 11.12 13.17 15.07 17.32 20.07 20:42 23.22 | 2.06 1.16 1.32 1.32 1.32 1.32 1.47 3.25 2.25 3.40 | 129,78 73,08 83,16 83,16 83,16 83,16 92,61 204,75 141,75 214,2 | |||
| Итого | 1188,81 |

- вагоно-часы простоя вагонов под операциями по расформированию состава;
- число транзитных вагонов, расформированных на станции.
Порядок определения третьего элемента – tнак

Таблица 4. Простой транзитного с переработкой под накоплением
| Остаток вагонов | Количество прибывших вагонов | Всего вагонов на пути | Простой под накоплением | Вагоно-часы накопления |
| На А | ||||
| 2.01 4.05 5.59 1.50 2.30 2.08 3.50 | 96,48 218,7 469,56 85,5 213,9 137,28 | |||
| На АБ | ||||
| 2.01 12.01 3.15 1.20 3.50 | 70.35 696,58 255,15 49,2 213,5 | |||
| На В | ||||
| 3,31 3,05 4,34 2,48 4.20 1.35 | 165,5 221,34 136,4 264,6 40,5 | |||
| На БВ | ||||
| 3,31 4,03 4,33 10,52 | 76,13 185,38 298,77 305,08 | |||
| Сумма А | 1347,42 | |||
| Участок АБ | 1284,78 | |||
| Станция В | 1130,84 | |||
| Участок БВ | 865,36 | |||
| Итого | 4628,4 |
, где
- общее число вагоно - часов простоя транзитных вагонов с переработкой под накоплением
- общее число транзитных с переработкой вагонов, участвующих в накоплении
Расчет производится отдельно для каждого назначения плана формирования, а затем – общий по всем станциям.

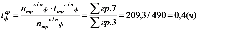
Порядок определения четвертого элемента – tф

Таблица 5. Простой транзитного с переработкой под формированием
| N/N п/п | NN поездов | Число транзитных вагонов с переработкой | Время | Простой в часах | Вагоночасы простоя | |
| начала форми- рования | окончания форми- рования | |||||
| 1 | 7.22 11:25 14:38 17:20 17:32 20:05 21:40 | 8.22 11:58 15:00 17:40 17:55 20:22 22:40 | 0,36 0,36 0,33 0,33 0,28 | 23,1 25,2 25,2 23,1 23,1 19,6 | ||
| Всего | 209,3 |

где
- вагоно-часы простоя вагонов по формированию;
- число вагонов, участвующих в формировании.
Порядок определения пятого элемента - tотпр
Таблица 6. Простой транзитного с переработкой под отправлением
| N/N п/п | NN поездов | Число транзитных вагонов с переработкой | Время | Простой в часах | Вагоночасы простоя | |
| окончания формирования | Отправления | |||||
| 6:00 11:55 15:00 17:40 17:55 20:25 | 7:30 13:25 16:30 19:10 19:25 22:05 | 1,5 1,5 1,5 1,5 1,5 1,5 | ||||

где
- вагоно-часы простоя вагонов по отправлению;
- число отправляемых вагонов.

3.1.3. Средний простой местного вагона рассчитывается общий по станциям и по трем укрупненным операциям:
где
– под операциями прибытия
– под грузовыми операциями
– под операциями отправления
3.1.3.1. Время простоя вагонов под операциями по прибытию определяется от момента прибытия поезда до окончания подачи вагонов под грузовые операции.
| Время | Количество вагонов | Простой в часах | Вагоно-часы простоя | № поезда по прибытию | Примечание (пункты местной работы) | |
| Прибытия поезда | Подачи вагонов под грузовые операции | |||||
| 0:50 4:15 9:55 13:00 | 2:25 6:25 12:25 20:20 | 1,58 2,16 2,58 7,33 | 15,8 43,2 25,8 7,33 | - - - - | ||
| 231,4 |

3.1.3.2. Время простоя вагонов под грузовыми операциями определяется с момента подачи вагонов под грузовые операции до окончания грузовых операций на грузовом дворе.
| Время | Количество вагонов | Простой в часах | Вагоно-часы простоя | № поезда | Примечание (пункты местной работы) | |
| Подачи под грузовые операции | Окончания грузовых операций | |||||
| 2:55 6:55 12:55 | 6:25 10:25 16:25 | 3,5 3,5 3,5 | - - - | - - - | ||

3.1.3.3. Время простоя под операциями отправления определяется от момента окончания грузовых операций до отправления со станции.

| Время | Кол-во вагонов | Простой в часах | Вагоно- часы простоя | N поезда по отп- равлению | |
| окончания грузовых операций | оправления со станции | ||||
| 7:15 7:15 11:15 11:15 17:12 17:12 | 16:30 19:10 16:30 19:10 22:05 19:10 | 9,25 11,9 5,25 7,91 4,96 1,96 | 55,5 47,6 63,28 29,76 7,84 | ||
| 266,98 |

где
- вагоно-часы простоя местных вагонов под операциями;
- число местных вагонов, обрабатываемых за сутки