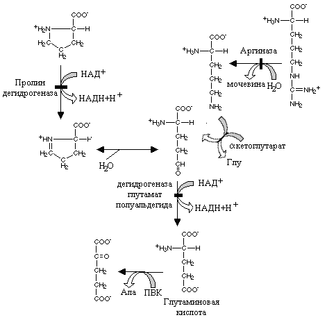
У аргинина и пролина на пути к глутаминовой кислоте общий метаболит –глутаминоый g полуальдегид
Дегидрогеназа пролина окисляет молекулу пролина с образованием продукта (дегидропролин), который спонтанно неферментативным путем гидролизуется с образованием глутаминового полуальдегида. Путь к этому соединению у аргинина начинается с реакции, катализируемой аргиназой и орнитин –продукт этой реакции после переаминирования с a –кетоглутаратом также превращается в глутаминовый полуальдегид. Специфическая дегидрогеназа глутаминового полуальдегида окисляет его с образованием глутаминовой кислоты.


Путь к глутаминовой кислоте у гистидина более долгий. Гистидин дезаминируется специфической дезаминазой – гистидазой с образованием уроканиновой кислоты. Уроканаза превращает уроканиновую кислоту в 4-имидазолон-5-пропионат, который гидролизуется с образованием N-формиминоглутамата и после переноса формиминогруппы на тетрагидрофолат образуется глутаминовая кислота. При недостатке фолиевой кислоты в организме, последняя реакция частично или полностью блокируется и второй продукт реакции N-формиминоглутамат выделяется почками. Это используется для исследования недостаточности фолиевой кислоты: после нагрузки гистидином в моче появляется N-формиминоглутаминовая кислота.
Глутаминовая кислота, которая образуется из указанных выше аминокислот превращается в a кетоглутаровую реакцией переаминирования