Зонное движение на пригородных линиях
На пригородных линиях по мере удаления от головной станции А пассажиропотоки значительно спадают. Поэтому и возникает необходимость организации зонного движения, когда часть поездов следует до определенных станций, называемых зонными. Часть линии между головной и зонной станциями
называют пригородной зоной. Оборот составов и локомотивов или моторвагон-ных поездов происходит на такой пригородной зоне. Целесообразность зонного движения зависит от мощности пригородного пассажиропотока. Когда суточные размеры движения пригородных поездов невелики (при слабом пассажиропотоке), зонное движение в большинстве случаев нецелесообразно. Средний интервал между поездами при зонном движении

где Т — рассматриваемый период движения пригородных поездов, например с 5 до 24 ч;
— размеры движения пригородных поездов на соответствующей зоне.
Пассажиро-часы ожидания для одной зоны и в одном направлении

для всех зон в одном направлении

и для двух направлений

где
— число зон пригородного участка.
На рис. 6.1 показана дальность следования пассажиров до каждой станции пригородного участка.
Пассажиро-часы следования в одном направлении

где
— пассажиропоток I, II, ..., n-й зон;
— протяженность I, II, ..., n-й зон, км;
— участковая скорость, км/ч.
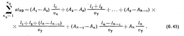
Максимальное число зон равно числу станций на пригородной линии, где происходит спад пригородных пассажиропотоков. Так, для составления экономико-математической модели по диаграмме пригородных пассажиропотоков (см. рие. 6.1) можно принять к3=6. Такое же число вариантов можно принять для выбора из них оптимального. Годовые приведенные затраты, зависящие от числа зон к3, при среднем расстоянии между зонными станциями 1а и количестве поездов на каждой зоне N3 включают следующие расходы.
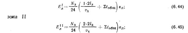
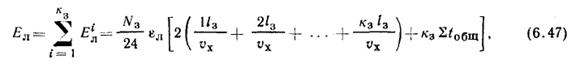
1. Годовые приведенные затраты на рабочий парк поездных локомотивов:
зона I

зона i

на пригородной линии

где
— время простоя локомотивов (составов) на головной и зонной станциях и на остановках на каждой зоне, ч;

Nк — касательная мощность локомотива, кВт; Кл — стоимость локомотива, руб.;
— коэффициент, учитывающий сроки окупаемости и службы локомотива; ерл — расходная ставка на ремонт локомотива, приходящаяся на 1 локомотиво-ч, руб.; ч — расходная ставка затрат топлива или электроэнергии на служебные нужды, руб./кВт.
Выражение в круглых скобках правой части условия (6.47) представляет собой сумму арифметической прогрессии с разностью в единицу и может быть записано как

Так как протяженность пригородной линии /пр=13ка, или


то, подставив значение /3 в условие (6.49), получим
Средние размеры движения поездов на каждой зоне при суточном пригородном пассажиропотоке А, отправляемом с головной станции в одном направ-
ЛРНИИ

где
— коэффициент использования вместимости состава поезда; а — вместимость поезда, пассажиров.
Подставив значения величин из условий (6.51) и (6.52) в условие (6.47), получим годовые приведенные затраты на рабочий парк локомотивов в целом для пригородной линии:

где

— коэффициент — отношение средней скорости начала торможения к среднеходовой скорости.
6. Годовые затраты на ожидание пассажирами поездов и следование в них

где спас.ч —стоимость 1 пассажиро-ч, руб.
7. Годовые приведенные затраты на реконструкцию или устройство новых зонных станций и их содержание

где Кст — стоимость реконструкции или сооружения новой зонной станции (в том числе устройство путей на собственно пассажирской и технической станциях, автоматика и телемеханика, деповские устройства и устройства для экипировки вагонов, руб.);
— коэффициент, учитывающий сроки окупаемости и службы устройств, сооружаемых при реконструкции зон или строительстве зонной станции;
— годовые расходы на содержание зонной станции, руб.
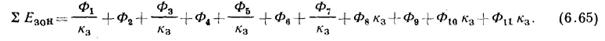
Экономико-математическая модель, описывающая народнохозяйственные затраты в зависимости от числа зон пригородной линии, имеет вид

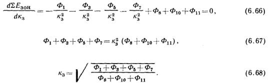
Экстремальная задача — отыскание минимума функции народнохозяйственных затрат от числа пригородных зон — решается дифференцированием условия (6.64):

или откуда
Порядок определения оптимального числа зон на заданной пригородной линии следующий
Чтобы решить поставленную многовариантную задачу оптимизации числа зон, необходимо определить исходные параметры, входящие в условия (6.53)— (6.64). Вначале необходимо установить размер суточного пассажиропотока и вид подвижного состава (электропоезда, локомотивная тяга и тип вагонов, вместимость пассажиров в поезде). Определить нормы и нормативы, влияющие на число зон: коэффициент вместимости вагонов, который устанавливается путем обследования населенности поездов; протяженность пригородной линии, ее план и профиль, исходя из которых определяется среднеходовая скорость движения пригородных поездов; из ценников (или справочников) установить стоимость подвижного состава (локомотивов, вагонов, электропоездов, дизель-поездов); установить или рассчитать число остановок на пригородной линии и среднее время на каждую остановку с учетом времени на разгон и замедление поездов; определить среднее время простоя состава под оборотом путем анализа графиков оборота пригородных составов за прошлые годы, включив в 2/об1д время на остановки поездов. Установить капитальные вложения (по справочнику) на реконструкцию или устройство зонных станций, а также расходные ставки по оплате локомотивных бригад и проводников, если последние будут обслуживать поезда (например, детский вагон) и др.
После этого задача решается последовательно вплоть до составления экономико-математической модели [условие (6.65)1, которая определяет экстремум функции.