Решение задач по определению дальности до цели с использованием формулы тысячной
Предположим, что на дальности Д от нас имеется какой-то вертикальный предмет – дерево, танк и т.п. с высотой В. Требуется определить угловую величину этого предмета в делениях угломера. Для решения этой задачи отложим внутри этого угла одно деление угломера.

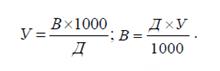
Простейшим преобразованием из этой формулы можно получить соотношения для определения высоты и дальности:
