Анализ оборачиваемости капитала

Поскольку оборачиваемость капитала тесно связана с его рентабельностью и служит одним из важнейших показателей, характеризующих интенсивность использования средств предприятия и его деловую активность, в процессе анализа необходимо более детально изучить показатели оборачиваемости капитала и установить, на каких стадиях кругооборота произошло замедление или ускорение движения средств.

Следует различать оборачиваемость всего совокупного капитала предприятия, в том числе основного и оборотного.

Скорость оборачиваемости капитала характеризуется следующими показателями:

· коэффициентом оборачиваемости (Kоб );

· продолжительностью одного оборота (Поб ).

Коэффициент оборачиваемости капитала рассчитывается по формуле:

. (5.4)

Обратный показатель коэффициенту оборачиваемости капитала называется капиталоемкостью (Ke ):

. (5.5)

Продолжительность оборота капитала :

, (5.6)

где Д — количество календарных дней в анализируемом периоде (год — 360 дней, квартал — 90, месяц — 30 дней).

Средние остатки всего капитала и его составных частей рассчитываются по средней хронологической: 1/2 суммы на начало периода плюс остатки на начало каждого следующего месяца плюс 1/2 остатка на конец периода и результат делится на количество месяцев в отчетном периоде. Необходимая информация для расчета показателей оборачиваемости имеется в бухгалтерском балансе и отчете о финансовых результатах.

При определении оборачиваемости всего капитала сумма оборота должна включать общую выручку от всех видов продаж. Если же рассчитываются показатели оборачиваемости только функционирующего капитала, то в расчет берется только выручка от реализации продукции. Обороты и средние остатки по счетам капитальных вложений, долгосрочных и краткосрочных финансовых вложений в данном случае не учитываются.

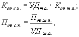
Оборачиваемость капитала , с одной стороны, зависит от скорости оборачиваемости основного и оборотного капитала, а с другой — от его органического строения: чем большую долю занимает основной капитал, который оборачивается медленно, тем ниже коэффициент оборачиваемости и выше продолжительность оборота всего совокупного капитала, т.е.:

(5.7)

где Kоб с. к. — коэффициент оборачиваемости совокупного капитала;

УДт. а. — удельный вес текущих активов (оборотного капитала) в общей сумме активов;

Kоб т. а. — коэффициент оборачиваемости текущих активов;

Поб с. к. — продолжительность оборота совокупного капитала;

Поб т. а. — продолжительность оборота текущих активов.

Пример 5.2

На анализируемом предприятии (табл. 1) продолжительность оборота совокупного капитала уменьшилась на 27 дней, а коэффициент оборачиваемости соответственно увеличился на 0,35.

Таблица 1