И стандартизация сетей
Архитектура подразумевает представление сети в виде системы элементов, каждый из которых выполняет определенную частную функцию, при этом все элементы вместе согласованно решают общую задачу взаимодействия компьютеров. Другими словами, архитектура сети отражает декомпозицию общей задачи взаимодействия компьютеров на отдельные подзадачи, которые должны решаться отдельными элементами сети. Одним из важных элементов архитектуры сети является коммуникационный протокол — формализованный набор правил взаимодействия узлов сети.
Прорывом в стандартизации архитектуры компьютерной сети стала разработка модели взаимодействия открытых систем (Open System Interconnection, OSI), которая в начале 80-х годов обобщила накопленный к тому времени опыт. Модель OSI является международным стандартом и определяет способ декомпозиции задачи взаимодействия «по вертикали», поручая эту задачу коммуникационным протоколам семи уровней. Уровни образуют иерархию, известную как стек протоколов, где каждый вышестоящий уровень использует нижестоящий в качестве удобного инструмента для решения своих задач.
Существующие сегодня (или существовавшие еще недавно) стеки протоколов в целом отражают архитектуру модели OSI. Однако в каждом стеке протоколов имеются свои особенности и отличия от архитектуры OSI. Так, наиболее популярный стек TCP/IP состоит из четырех уровней. Стандартная архитектура компьютерной сети определяет также распределение протоколов между элементами сети — конечными узлами (компьютерами) и промежуточными узлами (коммутаторами и маршрутизаторами). Промежуточные узлы выполняют только транспортные функции стека протоколов, передавая трафик между конечными узлами. Конечные узлы поддерживают весь стек протоколов, предоставляя информационные услуги, например веб-сервис. Такое распределение функций означает смещение «интеллекта» сети на ее периферию.
Декомпозиция задачи сетевого вза и модействия
Список ключевых слов. декомпозиция, модуль, спецификация, многоуровневый подход, иерархия, межуровневый интерфейс, интерфейс услуг, протокол, стек протоколов, файловая система, протокольные сущности, сообщение, заголовок сообщения, поля данных сообщения.
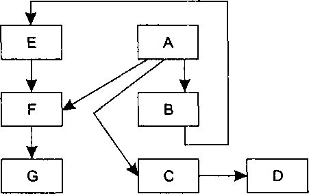
Организация взаимодействия между устройствами сети является сложной задачей. Для решения сложных задач используется известный универсальный прием — декомпозиция, то есть разбиение одной сложной задачи на несколько более простых задач-модулей. Декомпозиция состоит в четком определении функций каждого модуля, а также порядка их взаимодействия (то есть межмодульных интерфейсов). При таком подходе каждый модуль можно рассматривать как «черный ящик», абстрагируясь от его внутренних механизмов и концентрируя внимание на способе взаимодействия этих модулей. В результате такого логического упрощения задачи появляется возможность независимого тестирования, разработки и модификации модулей. Так, любой из показанных на рис. 4.1 модулей может быть переписан заново. Пусть, например, это будет модуль А, и если при этом разработчики сохранят без изменения межмодульные связи (в данном случае интерфейсы А-В и А-С), то это не потребует никаких изменений в остальных модулях.
Рис. 4.1. Пример декомпозиции задачи
|
Рис. 4.1. Пример декомпозиции задачи