Задача 1. Комбинированная и аналитическая группировка.
По приведенным в таблице 1.1 данным об объеме капитала и прибыли коммерческих банков требуется составить:
· Комбинированную группировку банков по этим признакам, образовав по 3 группы с равными интервалами;
· Аналитическую группировку, которая отражает зависимость прибыли банков от суммы капитала.
Таблица 1.1
Распределение коммерческих банков по размеру капитала и прибыли
| Номер банка | Объем капитала, млн руб. | Прибыль, млн руб. | Номер банка | Объем капитала, млн руб. | Прибыль, млн руб. |
| 6,2 | 4,6 | 6,2 | 4,7 | ||
| 11,9 | 8,5 | 8,6 | 7,2 | ||
| 7,6 | 5,3 | 5,4 | 4,0 | ||
| 10,5 | 8,8 | 7,0 | 5,8 | ||
| 8,1 | 6,2 | 9,6 | 7,8 | ||
| 8,3 | 4,1 | 8,1 | 6,9 | ||
| 12,0 | 8,2 | 5,2 | 4,3 | ||
| 5,1 | 3,6 | 7,3 | 6,0 | ||
| 7,8 | 4,1 | 8,2 | 6,4 | ||
| 5,4 | 3,3 | 5,4 | 4,1 | ||
| 6,4 | 5,2 | 3,1 | 2,7 | ||
| 8,3 | 5,8 | 4,4 | 3,0 | ||
| 5,2 | 3,3 | 3,0 | 2,2 |
Комбинированную группировку осуществим по двум признакам: объем капитала банков и их прибыль. Это дает комбинированный ряд распределения с непрерывными признаками, вариации которых незначительны. Применив равные интервалы, определим их ширину и сформируем интервалы.
Для объема капитала: 
интервалы: 3 – 6; 6 – 9; 9 – 12.
Для прибыли: 
интервалы: до 4,4; 4,4 – 6,6; 6,6 и больше.
Комбинированная группировка представлена в таблице:
Таблица 1.2
Комбинированная группировка банков по объему капитала и прибыли (млн руб.)
| Группа по объему капитала | Прибыль | Всего | ||
| До 4,4 | 4,4 – 6,6 | 6,6 и больше | ||
| 3 – 6 | - | - | ||
| 6 – 9 | ||||
| 9 – 12 | - | - | ||
| Итого |
Данные таблицы показывают на наличие прямой связи между суммой капитала банков и прибылью.
Для подтверждения наличия связи между объемом капитала (факторный признак) и прибылью (результативный признак) используем аналитическую группировку.
Таблица 1.3
Аналитическая группировка банков по объему капитала и прибыли (млн руб.)
| Группа по объему капитала | Количество банков | Объем капитала | Прибыль | ||
| Всего | На 1 банк | Всего | На 1 банк | ||
| 3 – 6 | 42,20 | 4,69 | 30,5 | 3,39 | |
| 6 – 9 | 98,10 | 7,55 | 72,3 | 5,56 | |
| 9 – 12 | 44,00 | 11,00 | 33,3 | 8,33 | |
| Всего | 184,30 | - | 136,1 | - | |
| В среднем | - | - | 7,09 | - | 5,23 |
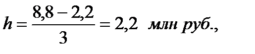
Сопоставление группировочных значений факторных и результативных признаков показывает, что прямая связь между признаками дает возможность определить интенсивность изменений результативного признака. При условии увеличения объема капитала различие между группами средней прибыли на 1 банк растет, что характеризует увеличение влияния факторного признака (объем капитала) на результативный признак: для второй группы – (5,56 – 3,39)=2,17 млн руб.; для третьей группы – (8,33 – 5,56)=2,77 млн руб.
Для наглядности средние объем капитала и прибыль из Табл. 1.3 представим диаграммой.
